Cycloadditions Pt2 Flashcards

(12 cards)

1
Q

Why are both these reactions successfull

A

These Diels-Alder reactions utilise an “electron deficient” dieneophile and an “electron rich” diene

How well did you know this?
1
Not at all
2
3
4
5
Perfectly
2
Q

In the following ethene molecule there are 2
π orbitals contributing the the π system, therefore we can get 2 possible molecular orbtials
What does this look like?
Which is the HOMO and which is the LUMO?

A
  • RHS is HOMO because it has zero nodal planes
  • LHS is LUMO because it has one nodal plane
How well did you know this?
1
Not at all
2
3
4
5
Perfectly
3
Q

In the following butadiene molecule there are four π orbitals contributing to the π system, therefore we can get four possible molecular orbitals
What does this look like?
Which one is the HOMO and LUMO?

A
  • HOMO has 1 nodal plane
  • LUMO has 3 nodal planes
How well did you know this?
1
Not at all
2
3
4
5
Perfectly
4
Q

Why is the interaction between the LUMO of the dienophile and the HOMO of the diene a favourable one

A
  • In a diel-alder reaction, one end of the dieneophile reacts with one end of the diene (concerted reaction)
  • Therefore the ends need to be in-phase interaction
How well did you know this?
1
Not at all
2
3
4
5
Perfectly
5
Q

For this more complicated example, we can obtain representations of the HOMO and LUMOs from calculations, and project the molecular orbitals onto the electron density surfaces
How does the regioselectivity relate to the Klopman’s equation?

A
  • What we’re looking for is the largest orbital lobe (coefficient) in one component, interacting with the largest orbital lobe in the other components
  • That gives up the best overlap and predict the best reaction outcome
How well did you know this?
1
Not at all
2
3
4
5
Perfectly
6
Q

You always get the major product from…

A

the largest two lobes interacting
Results in better “orbital contribution” - Klopman’s equation

How well did you know this?
1
Not at all
2
3
4
5
Perfectly
7
Q

How do the orbitals interact to form the major product

A
How well did you know this?
1
Not at all
2
3
4
5
Perfectly
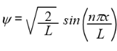
8
Q

When considering π-electrons in these alkenes, we see them as being “trapped” in a linear 1D box as defined by schrodiners equation
What does the wavefunction tell us?
(wavefunction(Ψ) determines the probability density of finding the system at a given position)

A
  • That the solution to it is sine waves
  • Interested in what the sine wave looks like for the LUMO of the dieneophile and HOMO for the diene
How well did you know this?
1
Not at all
2
3
4
5
Perfectly
9
Q

Relating to wavefunction, allow one bond length at each end of the molecule, and draw sine wave for ethene
(For both HOMO and LUMO)

A
How well did you know this?
1
Not at all
2
3
4
5
Perfectly
10
Q

Relating to wavefunction, allow one bond length at each end of the molecule, and draw sine wave for butadiene
(For both HOMO and LUMO)

A
How well did you know this?
1
Not at all
2
3
4
5
Perfectly
11
Q

The number of nodes =

A

The Ψ number - 1
i.e. for the LUMO = Ψ3-1 = 2 nodes

How well did you know this?
1
Not at all
2
3
4
5
Perfectly
12
Q

What is a key feature of the molecular orbital diagrams relating to wavefunction

A
  • The two inner carbon atoms are closer to a node than the two outer carbon atoms
  • And the closer to a node, the smaller the coefficient size is going to be
  • Therefore we not only predict orbital phases, but we can also dervice information of coefficient sizes
How well did you know this?
1
Not at all
2
3
4
5
Perfectly