Protecting Groups Flashcards

(29 cards)

1
Q

What is a THP group?

A

(THP ethers are stable to hydrogenation, strong bases, hydrides, fluorides, oxidants - needs a mild acid to remove)

How well did you know this?
1
Not at all
2
3
4
5
Perfectly
2
Q

What do you react with following alcohol with to add a THP ether protecting group?

A

React with DHP and acid catalyst

How well did you know this?
1
Not at all
2
3
4
5
Perfectly
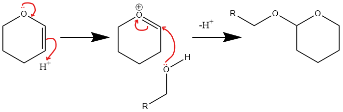
3
Q

What is the mechansim for protecting an alcohol using THP ethers

A
How well did you know this?
1
Not at all
2
3
4
5
Perfectly
4
Q

How do we deprotect an alcohol from a THP ether?

A

React with 2M HCl (aq) and THF

How well did you know this?
1
Not at all
2
3
4
5
Perfectly
5
Q

What do you react with the following alcohol to form a benzyl ether protecting group?

A
  • React with BnBr
  • Stable to: strong base, hydride, fluoride, oxidants
How well did you know this?
1
Not at all
2
3
4
5
Perfectly
6
Q

How do we remove the following benzyl ether protecting group from an alcohol?

A
  • Through hydrogenation or HBr/AcOH
How well did you know this?
1
Not at all
2
3
4
5
Perfectly
7
Q

How would you react the following diol to add a acetonide protecting group?

A
  • Stable to: hydrogenation, strong base, hydride, fluoride, oxidants
How well did you know this?
1
Not at all
2
3
4
5
Perfectly
8
Q

How do we remove the acetonide protecting group from this alcohol?

A
  • Mild aqueous acid
How well did you know this?
1
Not at all
2
3
4
5
Perfectly
9
Q

How would you react the following diol to add a silane protecting group

A

Stable to: strong bases, hydrides, hydrogenation, oxidants

How well did you know this?
1
Not at all
2
3
4
5
Perfectly
10
Q

How do we remove this silane protecting group from the alcohol?

A

Remove by: TBAF or 2M HCl

How well did you know this?
1
Not at all
2
3
4
5
Perfectly
11
Q

How would we react the following ketone/aldehyde to add a dioxolane protecting group

A

Stable to: hydrogenation, strong base, hydrides, fluoride, oxidants

How well did you know this?
1
Not at all
2
3
4
5
Perfectly
12
Q

How do we remove the dioxolane protecting group to reform the ketone/aldehyde

A

mild aqueous acid

How well did you know this?
1
Not at all
2
3
4
5
Perfectly
13
Q

How would we react the following carboxylic acid to add a methyl protecting group?

A

Stable to: base, mild acid and F⁻

How well did you know this?
1
Not at all
2
3
4
5
Perfectly
14
Q

How would we remove the methyl protecting group from the carboxylic acid

A

React with sodium hydroxide base

How well did you know this?
1
Not at all
2
3
4
5
Perfectly
15
Q

How would we react the following carboxylic acid to add a benzyl protecting group?

A

Stable to base, mild acid, F⁻

How well did you know this?
1
Not at all
2
3
4
5
Perfectly
16
Q

How would we remove the benzyl protecting group from the carboxylic acid?

A

React with hydrogen and palladium catalyst

17
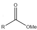
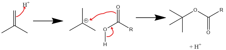
Q

How would we react the following carboxylic acid to add a tert-butyl ester protecting group?

A

Stable to: OH⁻, Nu, H₂, NaBH₄, F⁻

18
Q

How would we remove the tert-Butyl ester protecting group from the carboxylic acid

19
Q

What is the mechanism for the following reaction

20
Q

How could we react the following amine to add a BOC carbamtes protecting group

A

Stable to: hydrogenation, strong bases, hydrides, fluoride and oxidants

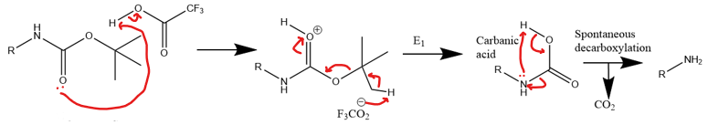
21
Q

How would we remove the following BOC carbamate protecting group from a amine

A

2M HCl or TFA

22
Q

What is the mechanism for the deprotect of the amine from a BOC carbamate

23
Q

How could we react the following amine to add a FMOC carbamate protecting group?

A

FMOC groups are stable to hydrogenation, acid, hydrides, fluoride and oxidants

24
Q

How could we remove the following FMOC carbamate protecting group from the amine?

25
What is the mechanism for removing a FMOC carbamate protecing group from an amine?
26
How would we react an amine to add a Cbz Carbamate protecting group?
Stable to: strong base, hydrides, fluoride, oxidants and acids
27
How would we remove a Cbz Carbamate protecting group from an amine?
Removed by hydrogenation or HBr/AcOH
28
How would we react an amine to add a Tosylate protecting group (most protecting)
Stable to: strong bases, hydrides, fluoride, oxidants and acids
29
How would we remove a Tosylate protecting group from an amine?
Na/NH₃ - strongly reducing conditions