Cycloadditions Pt4 Flashcards

(20 cards)

1
Q

Resonances forms can be used as a simple way to identify where the largest orbital coefficients will be in the diene and dienophile
Draw the resonances forms for the following dienophile and work out the largest coefficient

A
  • The ketone is an electron withdrawing group
  • The resonance forms show that atom 2 accommodaes a cation, and atom 1 remains neutral, therefore 2 has largest coefficient in the LUMO
How well did you know this?
1
Not at all
2
3
4
5
Perfectly
2
Q

Resonances forms can be used as a simple way to identify where the largest orbital coefficients will be in the diene and dienophile
Draw the resonance forms for the following diene and work out the largest coefficient

A
  • OMe is electron donating
  • Resonance forms show that atom 3 accommodates an anion, and atom 6 remains neutral, therefore atom 3 has the largest coefficient in the HOMO
How well did you know this?
1
Not at all
2
3
4
5
Perfectly
3
Q
  • Trans- (or E-) dienophiles lead to….
  • Cis- (or Z-) dienophiles lead to…
A
  • Trans- (or E-) dienophiles lead to trans-cycloaddition products
  • Cis- (or Z-) dienophiles lead to cis-cycloaddition products
How well did you know this?
1
Not at all
2
3
4
5
Perfectly
4
Q

Why are Diel-Alder cycloadditions stereospecific?

A
  • Because the reaction is concerted, i.e. breaking and making bonds at the same time
  • Meaning there are no intermediates
  • All reactions like this are sterospecific with respect to the relative configuration of the centres
How well did you know this?
1
Not at all
2
3
4
5
Perfectly
5
Q

For a successful cycloaddition reaction the diene must be able to adopt a….

A

s-cis conformation (note: s-cis means single bond-cis)

How well did you know this?
1
Not at all
2
3
4
5
Perfectly
6
Q

What is the product of this diels alder reaction with a diene and an alkyne?

A
How well did you know this?
1
Not at all
2
3
4
5
Perfectly
7
Q

What is the differences between these two diels-alder reactions?

A
  • Large steric clash between phenyl and hydrogen groups for the s-trans favoured
  • Differences in speed
  • Differences in sterochemistry
How well did you know this?
1
Not at all
2
3
4
5
Perfectly
8
Q

It is also possible to perform very sucessful hetero-Diels alder reactions by incorporating heteroatoms into the diene and/or dienophile
Drawn the curly arrows and product of this reactions

A
  • The hydrazone and alkene are conjugated (simiar to a butadiene)
How well did you know this?
1
Not at all
2
3
4
5
Perfectly
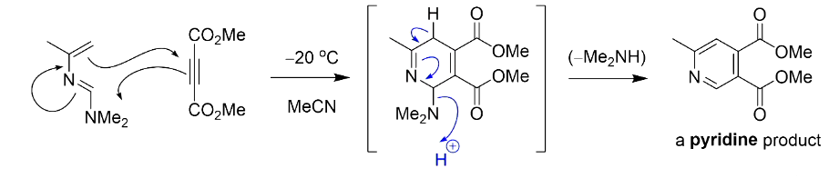
9
Q

It is also possible to perform very sucessful hetero-Diels alder reactions by incorporating heteroatoms into the diene and/or dienophile
Draw the curly arrows and product of this reaction

A
  • This reaction works as almost an elimination reaction where we lose a dimethylamine
  • Results in the formation of a pyridine product
How well did you know this?
1
Not at all
2
3
4
5
Perfectly
10
Q

It is also possible to perform very sucessful hetero-Diels alder reactions by incorporating heteroatoms into the diene and/or dienophile
Draw the curly arrows and product of this reaction
(note BF₃.OEt₂ is a lewis acid)

A
  • Heteroatoms on the alkene component
  • EDG OMe + OSiMe₃ on the diene
  • Results in carbon 1 having largest orbital co-efficient
  • Then treating the silyenolether into a ketone by treating it with acid
  • Product is highly stable due to resonance
How well did you know this?
1
Not at all
2
3
4
5
Perfectly
11
Q

It is also possible to perform very sucessful hetero-Diels alder reactions by incorporating heteroatoms into the diene and/or dienophile
Draw the curly arrows and product of this reaction

A
  • Electron deficient heterodiene due to oxygen with an electron rich dienophile (OMe)
  • Highly conjugated product is stable - driving force
How well did you know this?
1
Not at all
2
3
4
5
Perfectly
12
Q

What is the mechansim for acetal hydroloysis?

A
How well did you know this?
1
Not at all
2
3
4
5
Perfectly
13
Q

How can lewis acids affect Diels-Alder reactions?

A

Lewis acids can be added to accelerate a Diel-Alder reaction by modifying the HOMO-LUMO gap of the diene and dienophile

How well did you know this?
1
Not at all
2
3
4
5
Perfectly
14
Q

Explain the results of this table

A
  • The methyl group effect of the relative orbitals coefficients of the two ends favours the para product (this is much weaker than the methoxy group)
  • Hence only modest regioselectivity
  • But when we add a lewis acid, you can accelerate this reaction with increased selectivity - it has decreased the HOMO-LUMO gap
How well did you know this?
1
Not at all
2
3
4
5
Perfectly
15
Q

What is the intermediate formed when using the Lewis acid

A
  • The overall effect is to increase the contribution of the allyl cation to the orbital coefficient sizes AND lowers the energy of the LUMO
  • Effectively increased the strength of the electron withdrawing group by adding a lewis acid
  • These resonance forms provide a large contribution to the overall resonance hybrid
How well did you know this?
1
Not at all
2
3
4
5
Perfectly
16
Q

Another develped catalytic method of LUMO lowering involve the use of…

A

organic molecule catalysts (i.e. organocatalysis)

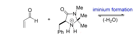
17
Q

This method of organocatalysis involves the insitu preparation of iminium species via reaction of secondary amine catalyst with a carbonyl comound
Explain the sterochemistry of the product?

A

As we can use single enantiomer chiral catalyst, it is possible to obtain enantiomerically enriched products from this process

18
Q

What is the mechanism for the following organocatalysis Diels-Alder reaction

A
  • The diene reacts with the iminium ion on its least hindered face
  • In the example shown this is the ‘back’ face as the front face is shielded by the benzyl (PhCH₂) group
19
Q

Hint: ΔG‡ = ΔH‡ - TΔS‡

How can intramolecular reactions allow you to ‘order’ the transition state?
Why does the “endo rule” not apply in this case

A
  • Intramolecular reactions allow you to “order” the transition state without costing too much in ΔS‡ terms
  • This means that intramolecular cycloadditions can be performed on “unfavourable” substrates
  • The “endo rule” does not apply as the strain energy (in ΔH‡ term) is too much to allow an endo-transition state to be favoured)
20
Q

An example of an intramolecular hetero-Diels Alder is hexahydrocannabinol synthesis
What is the product and curly arrows mechaisms

A
  • last step is forming a benzene ring
  • Similar mechanisms using sulfoxide which have already learnt