Electrocyclisations Flashcards

(27 cards)

1
Q

What is an electrocyclication?

A

We’re rearraning the electrons that conjugated pi systems and connecting the ends of the pi system to form a cyclobutane ring

How well did you know this?
1
Not at all
2
3
4
5
Perfectly
2
Q

What is the thermal and photochemical product of the following electrocyclisation reaction of E,E-butadiene?

A
How well did you know this?
1
Not at all
2
3
4
5
Perfectly
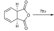
3
Q

What is the following thermal and photochemical product of the following electrocyclisation reaction of E,Z,E-hexatriene

A
How well did you know this?
1
Not at all
2
3
4
5
Perfectly
4
Q

What is disrotatory motion

A
  • When the terminal lobes have rotate in opposite directions in order to form a new σ-bond
How well did you know this?
1
Not at all
2
3
4
5
Perfectly
5
Q

What is conrotatory motion?

A

When the terminal lobes have to rotate in the same direction in order to form a new σ-bond

How well did you know this?
1
Not at all
2
3
4
5
Perfectly
6
Q

Woodward and Hoffmann noticed that the sterochemistry of the electrocyclisation could be predicted by examining….

A

The HOMO of the conjugated alkene starting material

How well did you know this?
1
Not at all
2
3
4
5
Perfectly
7
Q

Identify and draw the HOMO for butadiene

A

4π electrons

How well did you know this?
1
Not at all
2
3
4
5
Perfectly
8
Q

What type of motion is needed for thermal electrocyclisaton of butadiene?

A

Conrotatory - the terminal lobes of the conjugated system have opposite phases

How well did you know this?
1
Not at all
2
3
4
5
Perfectly
9
Q

Thermal electrocyclisation involves the interacting lobes being on the opposite faces of the diene
This is called a….

A

Antarafacial process

How well did you know this?
1
Not at all
2
3
4
5
Perfectly
10
Q

What is the overall name for this process

A

4πₐ conrotatory electrocyclisation
(a - antarafacial)

How well did you know this?
1
Not at all
2
3
4
5
Perfectly
11
Q

For the following photochemical electrocyclication of butadiene, can you drawn out the HOMO and the SUMO

A
How well did you know this?
1
Not at all
2
3
4
5
Perfectly
12
Q

The sterochemistry of the photochemical electrocyclisation can be predicted by

A

The SUMO of the conjugated alkene starting material

How well did you know this?
1
Not at all
2
3
4
5
Perfectly
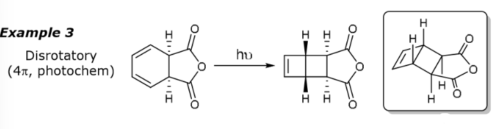
13
Q

The terminal lobes of the conjugated system have the same phases and the photochemical electrocylication must proceed in a….

A

Disrotatory mode in order to form a new σ-bond

How well did you know this?
1
Not at all
2
3
4
5
Perfectly
14
Q

The interacting lobes are on the same face of the diene, meaning this is a

A

Suprafacial process

How well did you know this?
1
Not at all
2
3
4
5
Perfectly
15
Q

What is the overall name for this photochemical electrocyclisation?

A

4πₛ disrotatory electrocyclisation
(s - suprafacial)

How well did you know this?
1
Not at all
2
3
4
5
Perfectly
16
Q

what is a simplified way we can represent this butadiene 4π e- system

17
Q

Fill out the following table for the Woodward-Hoffman rules for electrocyclisation reactions between 2-8π electrons

18
Q

What is a numonic to remeber the Woodward-Hoffmann rule

A
  • Thermal, Odd, Supra, Dis
  • E.g. 6π electrons, there is an odd number of π-bonds, and disrotatry motion for the thermal reaction
  • And derrive all other point in the table from this
19
Q

Fill out the following Woodward-Hoffmann rules for electrocyclisation reactions for the general rule

20
Q

What is the product of this photochemical electrocyclisation reaction

21
Q

What is the product of this reverse electrocyclisation?

A

(Going from even, antarafacial, conrotatory TO thermal, odd, suprafacial, disrotatory)

22
Q

What is the product of this reverse electrocyclisation

A

(Going from even, antarafacial, conrotatory, TO thermal, odd, suprafacial, disrotatory)
BUT steric hindrance of the mechanistically favoured product means it doesnt form

23
Q

What is the product of this electrocyclisation

A

(going from even, suprafacial, disrotatory, TO odd, antarafacial, conrotatory)
keep in mind steric hinderance

24
Q

What is the product of this electrocyclisation

A

(going from even, suprafacial, disrotatory, TO odd, antarafacial, conrotatory)

25
What is the product of this electrocyclisation
(going from **odd**, **antara**facial, **con**rotatory TO **even**, **supra**facial, **dis**rotatory)
26
What is the product of this reverse electrocyclisation?
(goes from **even**, **antara**facial, **con**rotatory TO **odd** **supra**facial, **dis**rotatory
27
How can we regenerate the aromaticity of the product of this reaction?