Cycloadditions Pt5 Flashcards

(6 cards)

1
Q

The Diels alder [4+2] cycloaddition is one of the most basic cycloadditions reactions
What does it involve?

A

A favourable in-phase interaction betwen the HOMO of the diene and the LUMO of the dienophile

How well did you know this?
1
Not at all
2
3
4
5
Perfectly
2
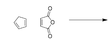
Q

Cyclopentadiene and maleic anhyride can react together in a…
What are the conditions required?

A

[2+2] cycloaddition
Performed under photochemical conditions

How well did you know this?
1
Not at all
2
3
4
5
Perfectly
3
Q

Two ethanes can react together in a [2+2] cycloaddition to form a cyclobutane
Draw the HOMO and LUMO orbitals for Ethene

A
How well did you know this?
1
Not at all
2
3
4
5
Perfectly
4
Q

Overlap between the HOMO and LUMO does not lead to productive overlap due to being out of phase - impossible to twist bonds to cause overlap - geometrically impossible
This is an example of a reaction that cannot be easily understood by looking at ground state orbital interactions
What does this mean for the reaction?

A
  • This is why the reaction is undertaken under photochemical conditions (hv)
  • If we excite one molecular orbital of ethene to produce the first excited state to produce the singly occupied molecular orbital - SOMO
  • Results in a SOMO-LUMO interaction (note quite similar to 2 LUMO interactions)
How well did you know this?
1
Not at all
2
3
4
5
Perfectly
5
Q

Predict which regioisomer is formed as the major product in the following photochemical [2+2] cycloadditions

A
How well did you know this?
1
Not at all
2
3
4
5
Perfectly
6
Q

The following molecules are sterochemical permetations of the previous regioisomer
Describe their sterochemistry

A
  • Number 1 and 2 are diasteroisomers
  • Although 2 and 3 are symmetrical, the sterogenic centres are different - enantiomers
How well did you know this?
1
Not at all
2
3
4
5
Perfectly