Exam Notes Flashcards

(4 cards)

1
Q

Compute the risk neutral branching probability

A
How well did you know this?
1
Not at all
2
3
4
5
Perfectly
2
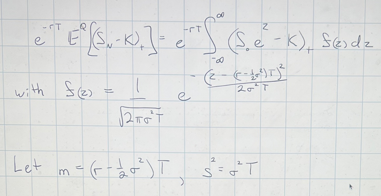
Q

When integrating to compute call option price remember

A

And split up integral using A = log(k/s0) as lower bound

And z’ becomes (z - (m+s)2)/s

How well did you know this?
1
Not at all
2
3
4
5
Perfectly
3
Q

When calculating moments of W, let Wt

A
How well did you know this?
1
Not at all
2
3
4
5
Perfectly
4
Q

Showing something is(n’t) a martingale

A

Show wether next value is equal to current value

How well did you know this?
1
Not at all
2
3
4
5
Perfectly