Week 6 Flashcards

(11 cards)

1
Q

A stochastic process is a martingale if

A
How well did you know this?
1
Not at all
2
3
4
5
Perfectly
2
Q

Show that Brownian motion is a martingale

A
How well did you know this?
1
Not at all
2
3
4
5
Perfectly
3
Q

Define a general ODE and rewrite it discretely

A
How well did you know this?
1
Not at all
2
3
4
5
Perfectly
4
Q

Relate SDE to ODE

A

SDEs include some randomness at each time step

How well did you know this?
1
Not at all
2
3
4
5
Perfectly
5
Q

Show how we use Brownian motion in a SDE

A
How well did you know this?
1
Not at all
2
3
4
5
Perfectly
6
Q

Partial deriv notation, meaning and example

A
How well did you know this?
1
Not at all
2
3
4
5
Perfectly
7
Q

For SDEs (in this course) we will only ever take deriv of

A

Lower case Latin letter, which represent standard fxs

capital Latin letters represent stochastic processes

Greek letter are coefficients of SDE (and are FXs of stochastic processes)

How well did you know this?
1
Not at all
2
3
4
5
Perfectly
8
Q

Ito’s lemma

A
How well did you know this?
1
Not at all
2
3
4
5
Perfectly
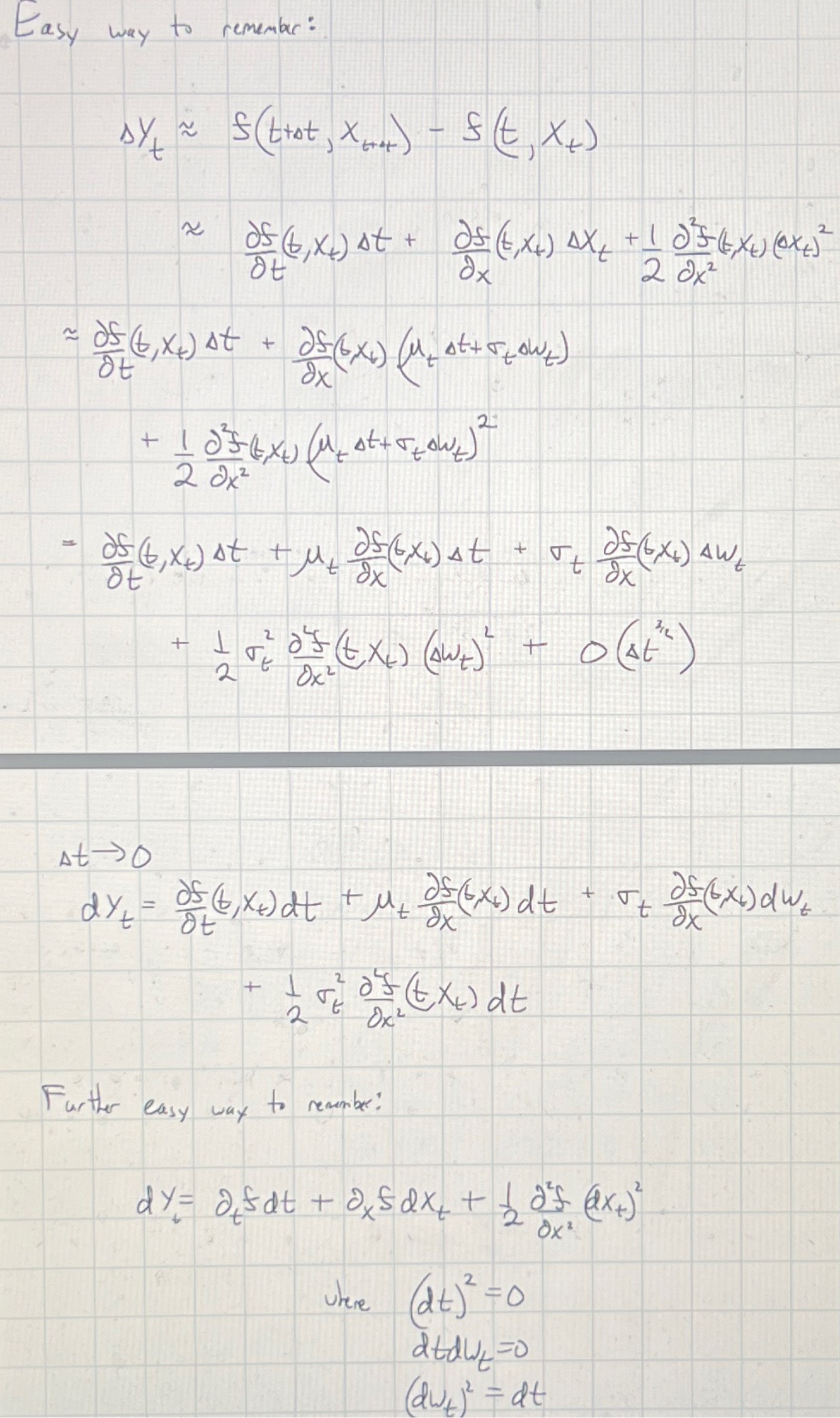
9
Q

Easy ways to remember ito’s lemma

A
How well did you know this?
1
Not at all
2
3
4
5
Perfectly
10
Q

How to use ITO’s

A

Let dXt = dWt

Then take partial of f(t,x(t)) wrt x, t, xx

How well did you know this?
1
Not at all
2
3
4
5
Perfectly
11
Q

Relate wether a process is a martingale to its PDE through Ito’s

A

If drift term = 0 (the coefficient on dt) then the process Yt is a martingale

This makes sense as this shows time independence

How well did you know this?
1
Not at all
2
3
4
5
Perfectly