Week 7 Flashcards

(10 cards)

1
Q

DO NOT

A

Differentiate stochastic processes (automatic zero)

How well did you know this?
1
Not at all
2
3
4
5
Perfectly
2
Q

Exam will definitely have

A

At least one question relating to ito’s formula

How well did you know this?
1
Not at all
2
3
4
5
Perfectly
3
Q

Stochastic process X is said to be a Markov Process if

A

(Markovian ~ have Markov property)

That is to say the future value of X is independent of the past but dependent on the present

How well did you know this?
1
Not at all
2
3
4
5
Perfectly
4
Q

Relate SDE to Markov property

A

Any stochastic process which satisfies an SDE has the Markov property

How well did you know this?
1
Not at all
2
3
4
5
Perfectly
5
Q

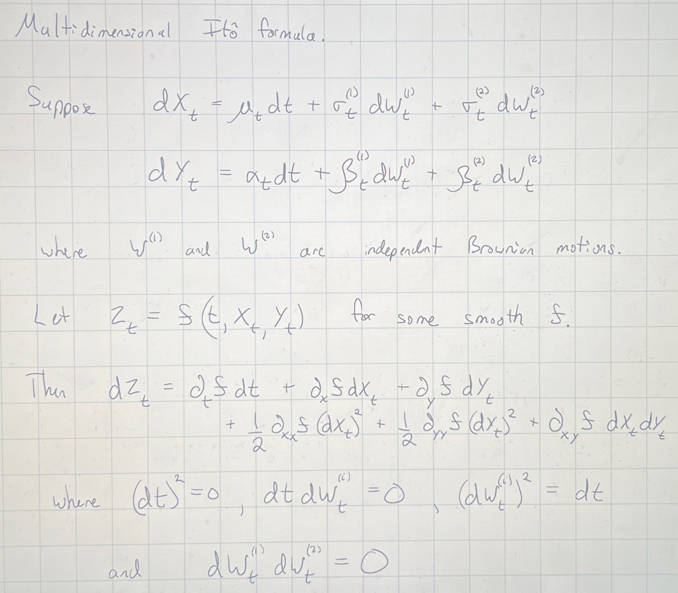
Define the multidimensional Ito’s formula

A
How well did you know this?
1
Not at all
2
3
4
5
Perfectly
6
Q

Form of SDE from now on

A
How well did you know this?
1
Not at all
2
3
4
5
Perfectly
7
Q

Feynman Kac formula (v1)

A
How well did you know this?
1
Not at all
2
3
4
5
Perfectly
8
Q

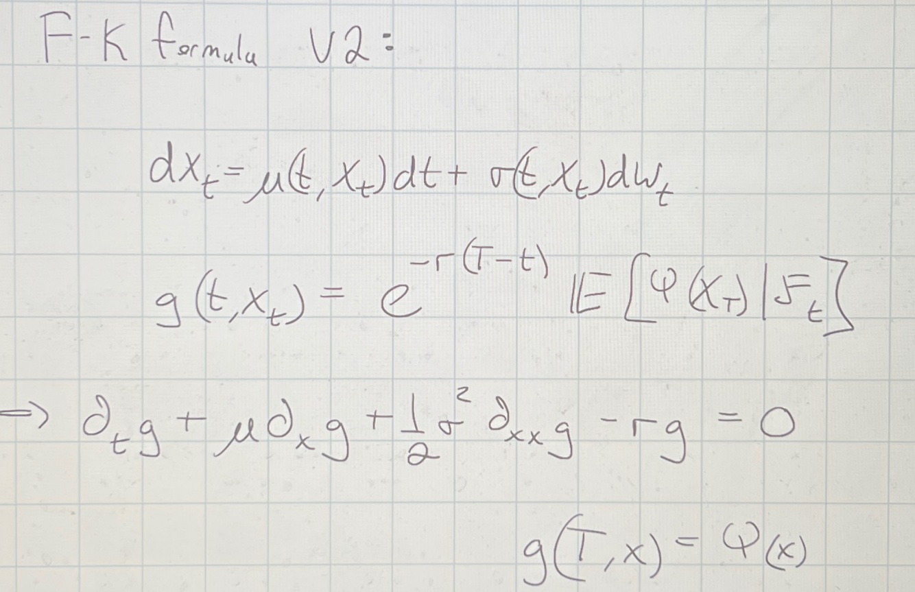
Feynman Kac formula v2

A
How well did you know this?
1
Not at all
2
3
4
5
Perfectly
9
Q

Difference between Markov property and Martingale property

A

Martingale concerns expected value given entire history

Markov is only concerned with current state

How well did you know this?
1
Not at all
2
3
4
5
Perfectly
10
Q

What does FK formula do

A

For an Xt that satisfies an SDE (and therefore is markovian)

We can find a function g that we plug the process Xt into to get a conditional expectation

How well did you know this?
1
Not at all
2
3
4
5
Perfectly