Week 3 Flashcards

(17 cards)

1
Q

Definition of arbitrage in multiperiod model

A
How well did you know this?
1
Not at all
2
3
4
5
Perfectly
2
Q

Self financing portfolio definition

A

A self financing portfolio is a sequence of positions in 2 assets {α} and {β} which does not require any injection of value after time 0

How well did you know this?
1
Not at all
2
3
4
5
Perfectly
3
Q

No arbitrage in multiperiod binomial 2 asset model requires

A

Which must hold for every single 1 period sub tree

How well did you know this?
1
Not at all
2
3
4
5
Perfectly
4
Q

Introduce a probability measure for a multi period 2 asset binomial model

A

Where n is time subscript and m is value subscript

How well did you know this?
1
Not at all
2
3
4
5
Perfectly
5
Q

Cn / Bn = ?with prob measure defined by B

A
How well did you know this?
1
Not at all
2
3
4
5
Perfectly
6
Q

define a stock under Risk neutral measure with 1 step

A

Denoted Q and Using MMF as numeraire

With S is stock

How well did you know this?
1
Not at all
2
3
4
5
Perfectly
7
Q

Denote MMF

A

Growing with deterministic rate r

We have

How well did you know this?
1
Not at all
2
3
4
5
Perfectly
8
Q

No arbitrage for risk neutral measure (both ways)

A
How well did you know this?
1
Not at all
2
3
4
5
Perfectly
9
Q

How to choose u, d and p for risk neutral measure

A

Moment matching

Or you can derive u, d and p from the E and V

And u*d = 1

How well did you know this?
1
Not at all
2
3
4
5
Perfectly
10
Q

Derive EQ[s1/s0] and VQ

A

where we enforce this E and V (for some reason)

How well did you know this?
1
Not at all
2
3
4
5
Perfectly
11
Q

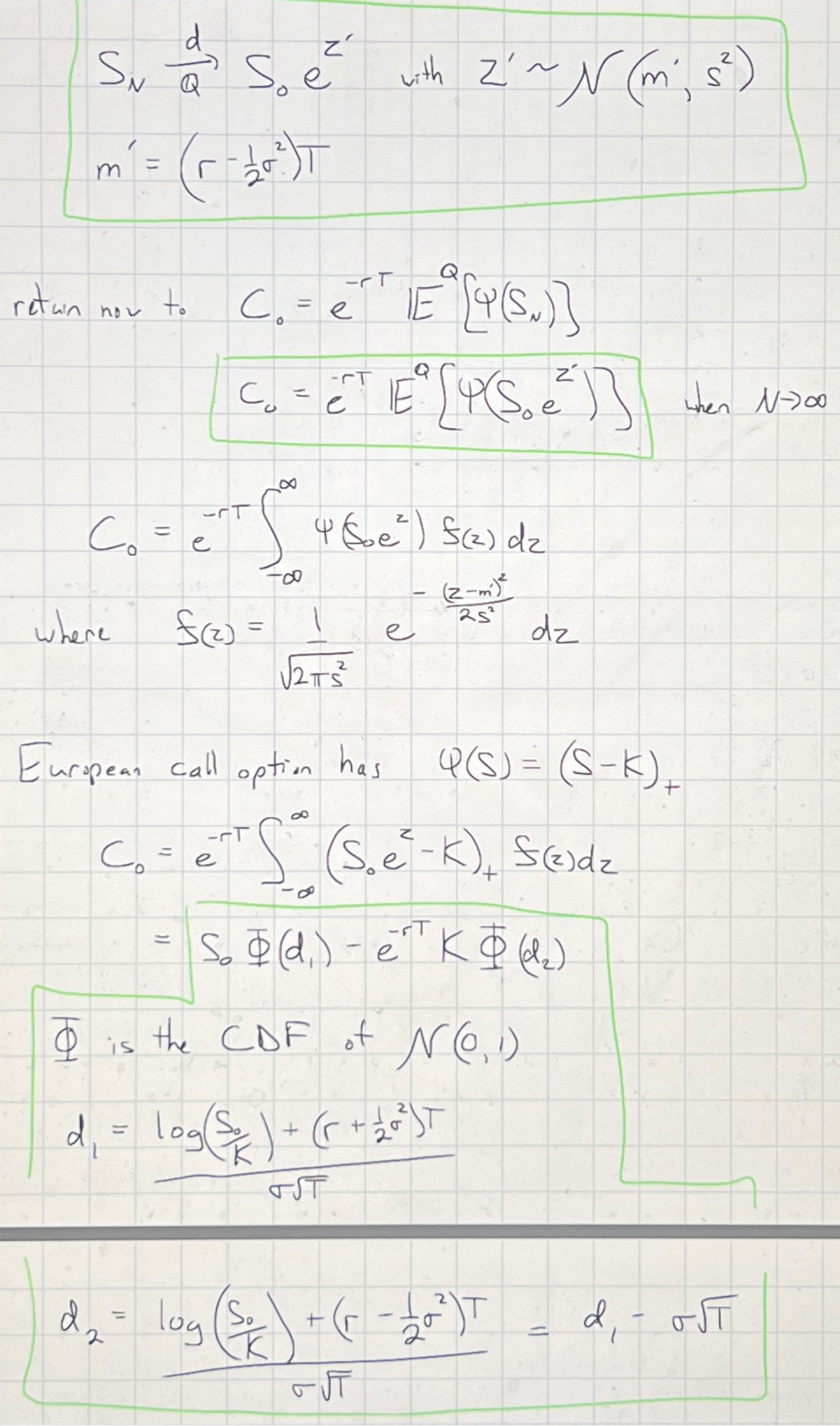
Introduce a 3rd asset C (with payoff Ψ(SN at time T) to the risk neutral model with a stock S

express expectation of c/m at time N given information up to time n

Find C0 using the martingale condition

A
How well did you know this?
1
Not at all
2
3
4
5
Perfectly
12
Q

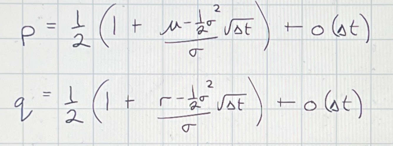
Taylor expansion of p and (risk neutral prob) q up to deltaT term

A
How well did you know this?
1
Not at all
2
3
4
5
Perfectly
13
Q

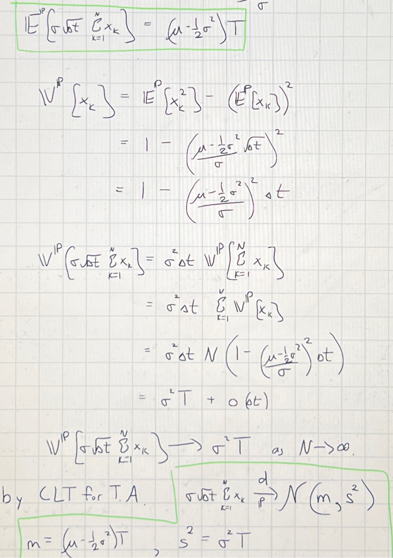
Derive EP[σ sqrt(Δt) sum(xk) ]

A

if xn = -1 this is a down branch, equiv for + 1 we arent using clt for triangular arrays until we combine both var and E

How well did you know this?
1
Not at all
2
3
4
5
Perfectly
14
Q

CLT for TA

A

converges in distribution and under measure P

How well did you know this?
1
Not at all
2
3
4
5
Perfectly
15
Q

Use below to derive BS European call option formula

A
How well did you know this?
1
Not at all
2
3
4
5
Perfectly
16
Q

Fair value of one call and one short (European) under BS?

Value of portfolio?

call put parity?

17
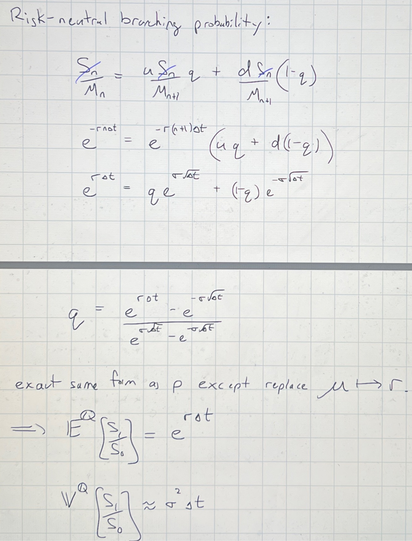
Q

Compute risk neutral branching probability

A

In the Sn/Mn = qS(n+1) + (1-q)S(n+1)