Week 8 Flashcards

(9 cards)

1
Q

Tower property

A
How well did you know this?
1
Not at all
2
3
4
5
Perfectly
2
Q

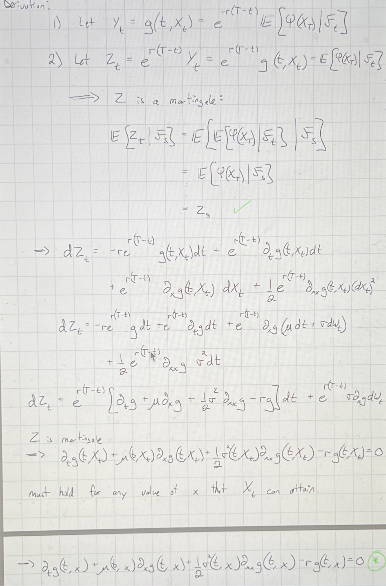
Derive Feynman Kac formula

A
How well did you know this?
1
Not at all
2
3
4
5
Perfectly
3
Q

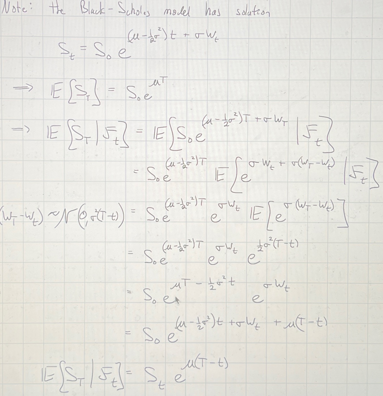
Model stock price with BS

A
How well did you know this?
1
Not at all
2
3
4
5
Perfectly
4
Q

Derive for BS Model

A
How well did you know this?
1
Not at all
2
3
4
5
Perfectly
5
Q

Derive dynamics of self financing portfolio in continuous time from discrete time

A
How well did you know this?
1
Not at all
2
3
4
5
Perfectly
6
Q

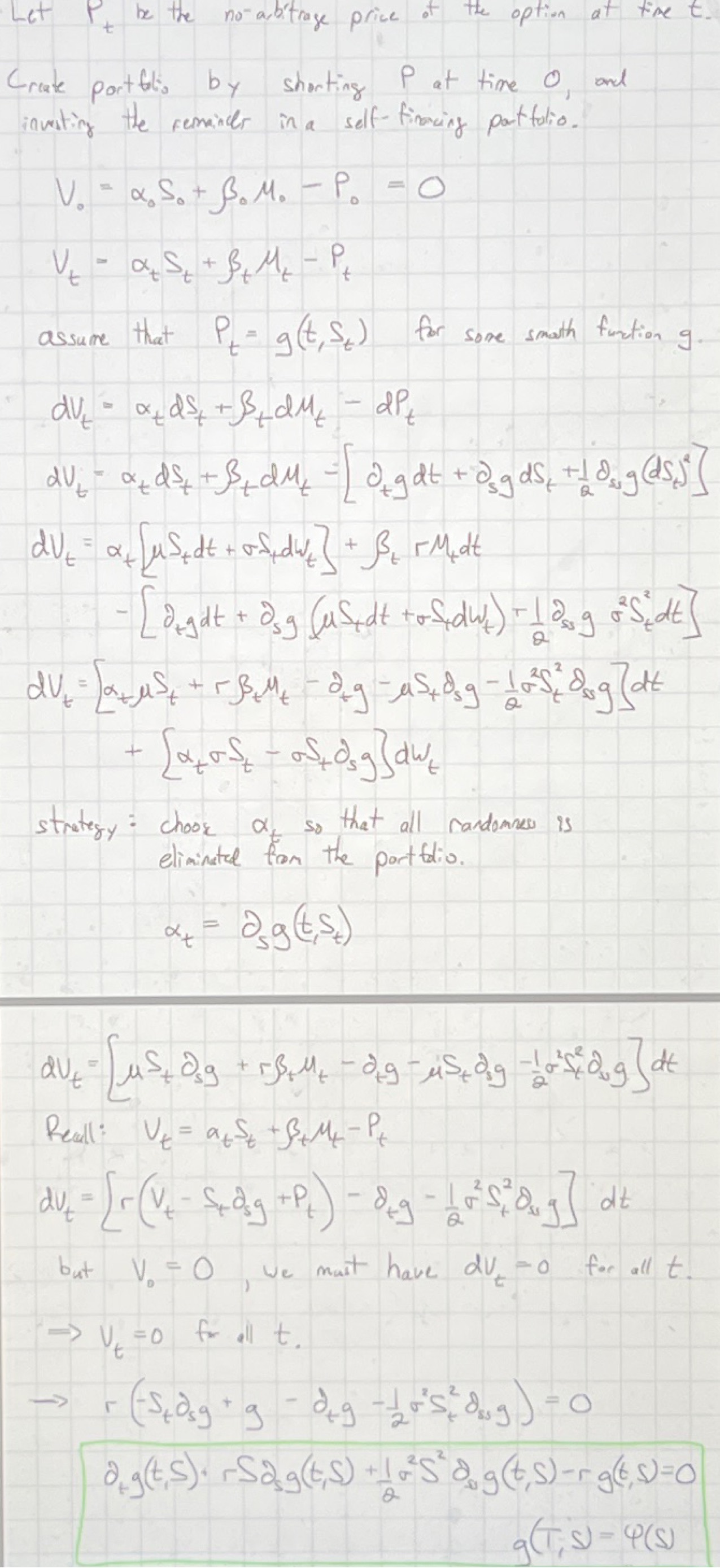
Derive Black Scholes equation/ PDE

A
How well did you know this?
1
Not at all
2
3
4
5
Perfectly
7
Q

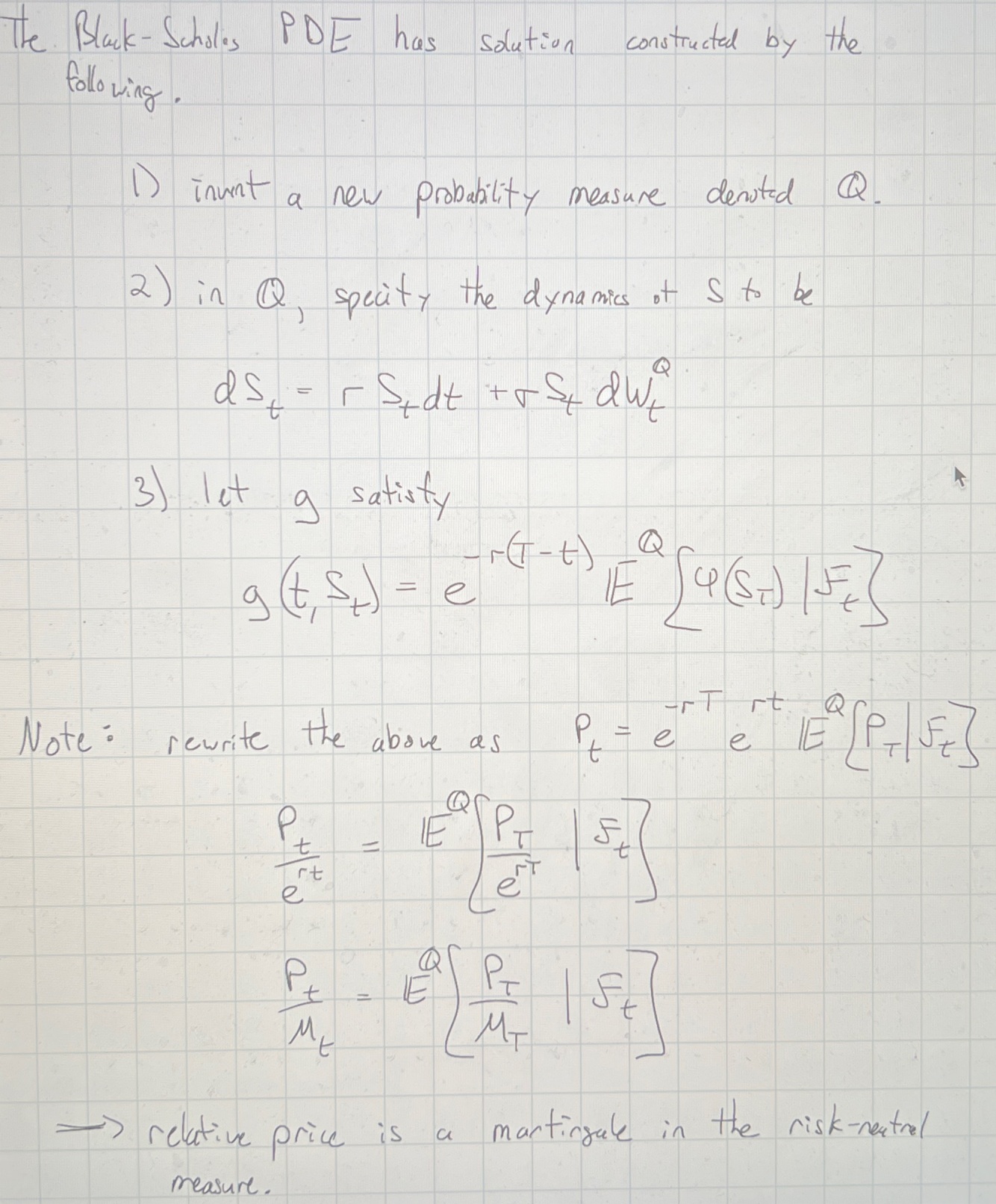
Steps to solve black scholes PDE

A
How well did you know this?
1
Not at all
2
3
4
5
Perfectly
8
Q

Write and then rewrite ODEs

Then equivalently for SDEs

A
How well did you know this?
1
Not at all
2
3
4
5
Perfectly
9
Q

Geometric Brownian motion satisfies SDE of what form

A
How well did you know this?
1
Not at all
2
3
4
5
Perfectly