Week 10 Flashcards

(9 cards)

1
Q

Compute option price from expectation

A
How well did you know this?
1
Not at all
2
3
4
5
Perfectly
2
Q

Steps for Monte Carlow option pricing

A

1) discretise time

2) discretise SDE

3) use LLN

How well did you know this?
1
Not at all
2
3
4
5
Perfectly
3
Q

Advantages + disadvantages of Monte Carlo option pricing

A

Adv)
1) easy conceptually
2) very easy to implement (typically)
3) easily adapted to path dependent options

Dis)
1) very difficult to adapt to American options
2) only get value of option at Time 0 and for one particular stock price

How well did you know this?
1
Not at all
2
3
4
5
Perfectly
4
Q

If an option pays Ψ(ST) in the BS model, then at time t and stock price s, the option is worth ?

A
How well did you know this?
1
Not at all
2
3
4
5
Perfectly
5
Q

Steps for finite difference method for options pricing

A

Discretise time and space (stock price)

Approximate derivatives in PDE

Rearrange

Solve backwards in time + space

How well did you know this?
1
Not at all
2
3
4
5
Perfectly
6
Q

Discretise time and space for finite difference method

A
How well did you know this?
1
Not at all
2
3
4
5
Perfectly
7
Q

Approximate derivatives in BS PDE by finite difference

A
How well did you know this?
1
Not at all
2
3
4
5
Perfectly
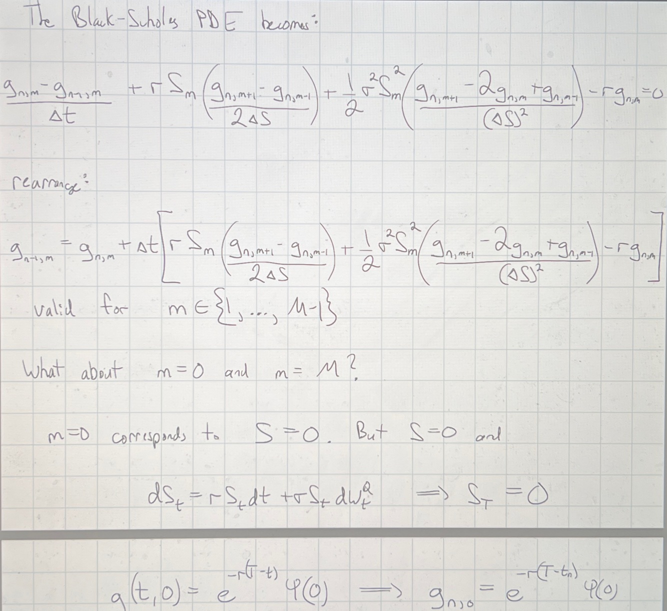
8
Q

Rearrange BS PDE at end of finite difference

A

And for m = M (the edge point) we assume linearity so can work out from points M-1 and M-2

How well did you know this?
1
Not at all
2
3
4
5
Perfectly
9
Q

Advantages + dis for FD methods for options pricing

A

Adv)
1) we get prices for all values of s, t
2) can be easily adapted to American and barrier options
3) non random res

Dis)
1) difficult to implement
2) curse

How well did you know this?
1
Not at all
2
3
4
5
Perfectly