Lecture 1 Flashcards

(13 cards)

1
Q

What is Γ, and what is the equation

A

resonance width, hbar/meanlifetime

How well did you know this?
1
Not at all
2
3
4
5
Perfectly
2
Q

What is l

A

Neutron lifetime, beginning of emission from fission to absorption

How well did you know this?
1
Not at all
2
3
4
5
Perfectly
3
Q

Decay heat after shutdown eqn after operation for T seconds

A
How well did you know this?
1
Not at all
2
3
4
5
Perfectly
4
Q

Decay heat after shut down after infinite operation

A
How well did you know this?
1
Not at all
2
3
4
5
Perfectly
5
Q

What is conversion ratio?

A

The ratio of fissile atoms produced per fissile atom consumed (called Breeding ratio when C > 1)

How well did you know this?
1
Not at all
2
3
4
5
Perfectly
6
Q

Decay equation

A
How well did you know this?
1
Not at all
2
3
4
5
Perfectly
7
Q

Equation for mean lifetime

A

t = 1/lamda

How well did you know this?
1
Not at all
2
3
4
5
Perfectly
8
Q

Activity equation

A

A(t) = λN(t)

How well did you know this?
1
Not at all
2
3
4
5
Perfectly
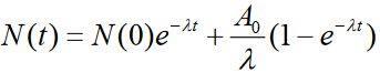
9
Q

Saturation activity equation

A
How well did you know this?
1
Not at all
2
3
4
5
Perfectly
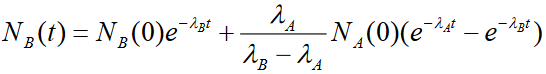
10
Q

Two stage decay equation

A
How well did you know this?
1
Not at all
2
3
4
5
Perfectly
11
Q

Secular equilibrium graph, when

A
How well did you know this?
1
Not at all
2
3
4
5
Perfectly
12
Q

Two stage decay for

A
How well did you know this?
1
Not at all
2
3
4
5
Perfectly
13
Q

Two stage decay for

A
How well did you know this?
1
Not at all
2
3
4
5
Perfectly