Lecture 2 Flashcards

(27 cards)

1
Q

Intensity change eqn

A

∆I=στNI

How well did you know this?
1
Not at all
2
3
4
5
Perfectly
2
Q

Macroscopic cross sectition eqn and definition

A

Σ=σN

Interaction probablity per unit thickness

How well did you know this?
1
Not at all
2
3
4
5
Perfectly
3
Q

Reaction rate per unit volume eqn

A
How well did you know this?
1
Not at all
2
3
4
5
Perfectly
4
Q

Intensity at x eqn

A
How well did you know this?
1
Not at all
2
3
4
5
Perfectly
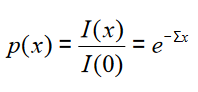
5
Q

Probablity to reach x without collision

A
How well did you know this?
1
Not at all
2
3
4
5
Perfectly
6
Q

Probablity to make first collision in dx, around x

A

probablity to collide at x * probablity to collide within dx

How well did you know this?
1
Not at all
2
3
4
5
Perfectly
7
Q

Mean free path def and eqn

A

average distance neutron travels w/o collision, 1/Σ

How well did you know this?
1
Not at all
2
3
4
5
Perfectly
8
Q

Neutron flux for mono speed and direction

A

φ = I = nv

How well did you know this?
1
Not at all
2
3
4
5
Perfectly
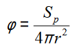
9
Q

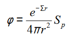
Flux from point source (geometric only)

A
How well did you know this?
1
Not at all
2
3
4
5
Perfectly
10
Q

Attenuation of flux from point source (geometrically and collissions)

A

Geometric flux * I(x)

How well did you know this?
1
Not at all
2
3
4
5
Perfectly
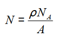
11
Q

Number density equation

A
How well did you know this?
1
Not at all
2
3
4
5
Perfectly
12
Q

Absorption at a specific E eqn

A
How well did you know this?
1
Not at all
2
3
4
5
Perfectly
13
Q

The energy dependency of the cross sections in the vicinity of each resonance take the form of

A

the Briet-Wigner formula

How well did you know this?
1
Not at all
2
3
4
5
Perfectly
14
Q

Resonances correspond to what?

A

Excitetation of nuclear levels from the incient neutron.

How well did you know this?
1
Not at all
2
3
4
5
Perfectly
15
Q

Define Doppler Broadening

A

The broadening of resonance peaks due to the change in relative velocity between the neutron and the incident nucleus.

How well did you know this?
1
Not at all
2
3
4
5
Perfectly
16
Q

P(V)dV is…?

A

the probablity that a nuclus has velocity V within dV

17
Q

Reaction rate

18
Q

Why threshold cross sections?

A

The incident neutron needs to have enough kinetic energy to raise the nucleus to an excited state

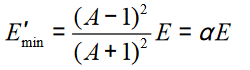
19
Q

What is the equation for E’ min

20
Q

Nameless alpha = ?

21
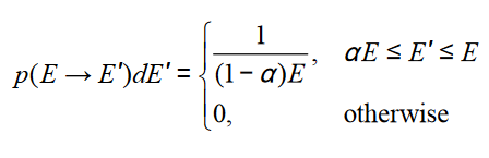
Q

What is the equation for the energy distribution of a scattered neutron?

22
Q

What is the slowing down decrement? (definition)

A

lograrithmic energy loss per colission

23
Q

What is the equation for the slowing down decrement?

A

Aproximately 1/(A+2/3)

or

24
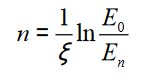
Q

What is the equation for the number of elastic collisions required to slow a neutron from fission (E_0) to thermal energy(E_n)?

25
What is the equation for the AVERAGE slowing down decrement?
26
Slowing-down power is given by...?
27
The slowing-down ratio is given by...?