Lecture 4 Flashcards

(23 cards)

1
Q

The neutron spectrum averaged cross sections in a fast reactor are substantially _____ than those in a thermal system

A

smaller

How well did you know this?
1
Not at all
2
3
4
5
Perfectly
2
Q

In a fast reactor, the spatial distribution of the flux will be ____ across the cross section of the cell

A
How well did you know this?
1
Not at all
2
3
4
5
Perfectly
3
Q

K infinite equation as a function of enrichment for fast reactors

A
How well did you know this?
1
Not at all
2
3
4
5
Perfectly
4
Q

In the thermal and intermediate neutron energy ranges, cross sections generally are ___ than for higher energy neutrons.

A

larger

How well did you know this?
1
Not at all
2
3
4
5
Perfectly
5
Q

Thermal reactor coolant and moderator region dimensions are typically ___ than those of the coolant channels in fast reactors

A

larger

How well did you know this?
1
Not at all
2
3
4
5
Perfectly
6
Q

In thermal reactors the flux (will/will not) differ significantly

A

will

How well did you know this?
1
Not at all
2
3
4
5
Perfectly
7
Q

k infinite for thermal reactors

A
How well did you know this?
1
Not at all
2
3
4
5
Perfectly
8
Q

What is the four factor formula?

A

k infinite = εpfη

How well did you know this?
1
Not at all
2
3
4
5
Perfectly
9
Q

Define ε

A

fast fission factor, the ratio of fast neutrons produced by fissions at all energies to the number of fast neutrons produced in thermal fission

How well did you know this?
1
Not at all
2
3
4
5
Perfectly
10
Q

ε =

A

1 + probable number of collisions in fast neutron spectrum * nu / probable number of collisions in thermal neutron spectrum * nu

How well did you know this?
1
Not at all
2
3
4
5
Perfectly
11
Q

define p

A

the probablity that a neutron will be slowed to thermal energy and escape resonance capture

How well did you know this?
1
Not at all
2
3
4
5
Perfectly
12
Q

p =

A

numer of neutrons that reach thermal energies/numer of fast neutrons that start to slow down

How well did you know this?
1
Not at all
2
3
4
5
Perfectly
13
Q

Increasing the temperature ____ the self-shielding at the resonance peak, and this _____ the absorption as temp increases

A

decreases

increases

How well did you know this?
1
Not at all
2
3
4
5
Perfectly
14
Q

The resonance integral eqn

A

integral of absorption probablity in fuel/scattering dE

How well did you know this?
1
Not at all
2
3
4
5
Perfectly
15
Q

Seperation of fuel from moderator causes resonance escape probablity to

A

increase

How well did you know this?
1
Not at all
2
3
4
5
Perfectly
16
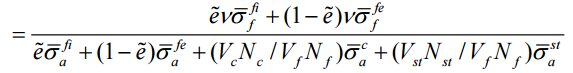
Q

f =

A

f = thermal utilization = number of thermal neutrons absorbed in fuel/ number of neutrons absorbed in all material

17
Q

what is ς

A

thermal disadvantage factor

18
Q

define η

A

Thermal fission factor; the number of fussion neutrons produced per thermal neutron absorbed in the fuel

20
Q

in a PWR, as the ratio of moderator to fuel (VmNm/FvNf), p ____, f _____

A

increases, decreases

21
Q

In a PWR, increasing the fuel radius ______ the multiplication