Lecture 3 Flashcards

(36 cards)

1
Q

Given the non-leakage probablity, what is the equation for k?

A
How well did you know this?
1
Not at all
2
3
4
5
Perfectly
2
Q

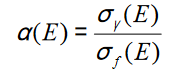
Equation for caputre-to-fission ratio?

A
How well did you know this?
1
Not at all
2
3
4
5
Perfectly
3
Q

The capture-to-fission ratio ratio decreases sharply above ____ keV

A

100

How well did you know this?
1
Not at all
2
3
4
5
Perfectly
4
Q

The number of neutrons produced per fission ______ above 1 MeV

A

increases rapidly

How well did you know this?
1
Not at all
2
3
4
5
Perfectly
5
Q

What is the equation for the ratio of fission neutrons produced to neutrons absorbed)?

A
How well did you know this?
1
Not at all
2
3
4
5
Perfectly
6
Q

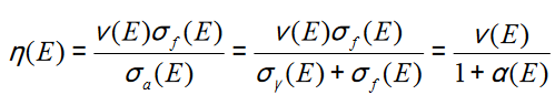
What is the equation for isotopic eta?

A
How well did you know this?
1
Not at all
2
3
4
5
Perfectly
7
Q
A
How well did you know this?
1
Not at all
2
3
4
5
Perfectly
8
Q

Equation for fuel eta (using fissile enrichment ratio)

A
How well did you know this?
1
Not at all
2
3
4
5
Perfectly
9
Q

Fast reactors must have a U-235 enrichment percent of at least

A

10%

How well did you know this?
1
Not at all
2
3
4
5
Perfectly
10
Q

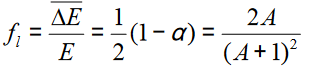
The average fractional energy loss from isotropic elastic scattering is given by

A
How well did you know this?
1
Not at all
2
3
4
5
Perfectly
11
Q

Average slowing down decrement

A
How well did you know this?
1
Not at all
2
3
4
5
Perfectly
12
Q

Average slowing down power

A
How well did you know this?
1
Not at all
2
3
4
5
Perfectly
13
Q

Average slowing down ratio

A
How well did you know this?
1
Not at all
2
3
4
5
Perfectly
14
Q

define

A

number of neutrons/cm^3 with energies between E and E+dE

How well did you know this?
1
Not at all
2
3
4
5
Perfectly
15
Q

define

A

total number of neutrons / cm^3

How well did you know this?
1
Not at all
2
3
4
5
Perfectly
16
Q

define φ(E)dE

A

total distance traveled during one second by all neutrons with energies E and E+dE in 1 cm^3

17
Q

What is the equation for φ(E)?

18
Q

Define

A

probablity/cm of flight of a neutron with energy E undergoing a reaction of type x

19
Q

Define

A

probable number of colllisions of type x /s-cm^3 for neutrons with energies between E and E+dE

20
Q

Define

A

probable number of collisions of type x /s-cm^3 of all neutrons

21
Q

Fill in the blanks

22
Q

define q(E)

A

numer of neutrons slowing down past energy E /s/cm^3

23
Q

Primary form of absorption comes from

A

the resonance cross sections

24
Q

Between resonances, the absorption cross sections are

A

small enough to be ignored

25
In the intermediate range below the fission spectrum
26
In the intermediate range below the ifssion spectrum ϕ(E) =
27
The flux is no longer proportional to 1/E when what kind of material is present?
resonance absorber
28
What is the equation for ϕ(E) using the the narrow resonance approximation?
29
Since self-shielding ____ the flux where the absorption cross section is large, it _____ overall neutron losses to absorption and thus ____ the propogation of the chain reaction.
reduces reduces aids
30
Absorption cross sections in the _____ range are approximately 1/v
thermal
31
Equation for thermal cross section averages
32
In many cases, thermal scattering cross sections are _____ of energy
independent
33
At thermal energies, the binding of atoms to molecules or within crystal lattices can significantly affect
thermal scattering cross sections
34
Equation for number of fission neutrons produced
35
Equation for number of neutrons absorbed
36
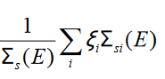
Infinite multiplicaton factor (given cross sections)