Lecture 7 Flashcards

(67 cards)

1
Q

Flux shape for infinite slab

A
How well did you know this?
1
Not at all
2
3
4
5
Perfectly
2
Q

Flux shape in infinite cylinder

A
How well did you know this?
1
Not at all
2
3
4
5
Perfectly
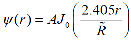
3
Q

Flux shape in finite cylindrical core

A
How well did you know this?
1
Not at all
2
3
4
5
Perfectly
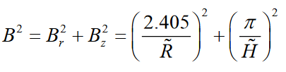
4
Q

Buckling in finite cylinder

A
How well did you know this?
1
Not at all
2
3
4
5
Perfectly
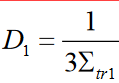
5
Q

Peak to average power

A
How well did you know this?
1
Not at all
2
3
4
5
Perfectly
6
Q

Diffusion lengths

A
How well did you know this?
1
Not at all
2
3
4
5
Perfectly
7
Q

Diffusivity equation

A
How well did you know this?
1
Not at all
2
3
4
5
Perfectly
8
Q

Multiplication factor with two group approximation

A
How well did you know this?
1
Not at all
2
3
4
5
Perfectly
9
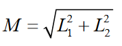
Q

Migration length equation

A
How well did you know this?
1
Not at all
2
3
4
5
Perfectly
10
Q

Reflector savings for

a >> M

A
How well did you know this?
1
Not at all
2
3
4
5
Perfectly
11
Q

Reflector savings for

a << M

A
How well did you know this?
1
Not at all
2
3
4
5
Perfectly
12
Q

Buckling in reflected reactor

A
How well did you know this?
1
Not at all
2
3
4
5
Perfectly
13
Q

Adding a reflector _____ the flux distribution, thus ____ the ratio of peak to average flux

A

flattens, lowers

How well did you know this?
1
Not at all
2
3
4
5
Perfectly
14
Q

The worth changes most rapidly when the tip is _______ of the core, where the flux is largest.

A

near the midplane

How well did you know this?
1
Not at all
2
3
4
5
Perfectly
15
Q

Buckling change with reactivity change equation

A
How well did you know this?
1
Not at all
2
3
4
5
Perfectly
16
Q

Rod bank has large enough effects in reactivity and on the flux distribution that the ______ technique is no loger applicable

A

pertubation

How well did you know this?
1
Not at all
2
3
4
5
Perfectly
17
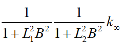
Q

Change in non-leakage probablity w/ different migration length and buckling

A
How well did you know this?
1
Not at all
2
3
4
5
Perfectly
18
Q

Increased fuel temperature results in a ________ in the resonance escape probablity because of doppler effects

A

decrease

How well did you know this?
1
Not at all
2
3
4
5
Perfectly
19
Q

Magnitidue of fuel temp coefficient _____ with increasing fuel temperature

A

decreases

How well did you know this?
1
Not at all
2
3
4
5
Perfectly
20
Q

Becomes more _______ with burnup because of ______

A

negative, Pu-240

How well did you know this?
1
Not at all
2
3
4
5
Perfectly
21
Q

Moderator temperature coefficient

A
How well did you know this?
1
Not at all
2
3
4
5
Perfectly
22
Q

Moderatore coefficient derives primarily from _____ changes with changes in the __________ playing a secondary role

A

density, thermal spectrum

How well did you know this?
1
Not at all
2
3
4
5
Perfectly
23
Q

MTC becomes more ______ with boron concentration because of larger reduction in poision content from reduced density.

A

positive

How well did you know this?
1
Not at all
2
3
4
5
Perfectly
24
Q

MTC becomes more _____ with burnup primarily because of reduction in boron concentration

A

negative

How well did you know this?
1
Not at all
2
3
4
5
Perfectly
25
Large negative value would be limiting for a ________ incidence
cold water injection
26
MTC becomes more _______ with control rod insertion because of hardened neutron spectrum and increased leakage
negative
27
For the fuel temperature coefficient for fast reactors, doppler effect is ______ in magnitude
smaller
28
For the coolent temperature coefficient for fast reactors, decreased density _____ the neutron spectrum and thus increases ____ and \_\_\_\_.
hardens, eta, kinfinite
29
For the coolent temperature coefficient for fast reactors, decreased density _____ the migration length, and thus ______ leakage, resulting in ______ reactivity.
lengthens, increases, increased.
30
Isothermal temperature coefficient, αT
αf + αc
31
Power coefficient αp=
32
In PWR, power coefficient becomes ______ with burnup
more negative
33
The temperature defect is
reactivity decrease from cold shutdown state to hot zero power condition
34
Power defect is
reactivity decrease from hot zero power to hot full power
35
Excess reactivity is the value that ρ would take if
all moveable control poisions were instantiously removed from the core.
36
Factors determining excess reactivity
temp defect, power defect, cycle length
37
Transient heat transfer model,
38
39
Very slow transient with small step reactivity insertion, or Quasi-steady state heat transfer equation
40
With .95$ insertion, _____ before fuel gains enough temp for \_\_\_\_\_\_
large power spike, negative feedback
41
Without temperature feedback, transients would pass through ______ at one second
prompt critical
42
Reactavity at t with reactivity insertion, ρ(t)=
43
Short time phenomena:
typical time intervals of milliseconds to seconds, transient analysis
44
Medium time phenomena:
hours to days, Xe and Sm effects
45
Long time phenomena:
several months or years, fuel depletion analysis
46
I-131 reaches it's saturation value \_\_\_\_\_, and will be proportional to the \_\_\_\_\_\_\_
quickly, reactor power
47
Cs-137 increases ______ with time over the few years the fuel is in the reactor and the amount is proportional to \_\_\_\_\_\_
linearly, the total energy produced
48
Equilibrium concentration of Xenon, X(∞) =
49
Xenon after reactor shutdown, X(t) =
50
Xenon reactivity effect, ρ(t) =
51
For a sufficiently large operating flux, the xenon concentration _____ following shutdown.
rises
52
Peak concentration occurs _____ hours after shutdown
11.3
53
Samarium concentration, S(∞) =
54
Equilibrium concentration of Pm and I
55
Samarium after reactor shutdown, S(t) =
56
Samarium concentration _____ following shutdown
rises
57
Uranium concentration, N(t) =
58
conversion ratio, CR(t) =
59
Power as function of p'''max, peaking factor, and volume
60
The achievable maximum power density is dependent on _______ properties and that the _______ and _____ that can be tolerated
material, temperatures, pressures
61
Fq=
FrFxFl
62
Fq for a uniform cylindrical core =
3.63Fl
63
p'''(r,z) =
64
volume averaged coolant outlet temp To =
65
66
Average fuel temp Tf=
67
The temperature at the rod's hottest point, which is along it's centerline, determines the limitation on the \_\_\_\_\_\_\_
linear heat rate