Lecture 5 Flashcards

(39 cards)

1
Q

equation and definition

A

average distance a neutron travels from birth to absorption

How well did you know this?
1
Not at all
2
3
4
5
Perfectly
2
Q

equation and definition

A

average time between the birth and absorption of a neutron

How well did you know this?
1
Not at all
2
3
4
5
Perfectly
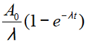
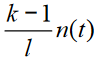
3
Q

in terms of A(0) and lamda for N(0) = 0

A
How well did you know this?
1
Not at all
2
3
4
5
Perfectly
4
Q

for an infinite multiplying medium the neutron balance equation is

A
How well did you know this?
1
Not at all
2
3
4
5
Perfectly
5
Q

equation and definition

A

average time between birth and the birth of a single neturon in the next generation

How well did you know this?
1
Not at all
2
3
4
5
Perfectly
6
Q

define Γ

A

the ratio of the number of neutrons leaking from the system to the number of neutrons absorbed

How well did you know this?
1
Not at all
2
3
4
5
Perfectly
7
Q

Γ =

A
How well did you know this?
1
Not at all
2
3
4
5
Perfectly
8
Q
A
How well did you know this?
1
Not at all
2
3
4
5
Perfectly
9
Q

equation and definition

A

average distance traveled between absorption OR leakage

How well did you know this?
1
Not at all
2
3
4
5
Perfectly
10
Q

equation and definition

A

average lifetime between birth and loss (to absorption or leakage)

How well did you know this?
1
Not at all
2
3
4
5
Perfectly
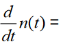
11
Q

for a finite multiplying medium (w/o external source) the neutron balance equation is

A
How well did you know this?
1
Not at all
2
3
4
5
Perfectly
12
Q

for a finite multiplying medium with a constant external source

A
How well did you know this?
1
Not at all
2
3
4
5
Perfectly
13
Q

Prompt inverse period eqn

A
How well did you know this?
1
Not at all
2
3
4
5
Perfectly
14
Q

Delayed neutrons are emitted after ____ decay of ____

A

beta, fission products

How well did you know this?
1
Not at all
2
3
4
5
Perfectly
15
Q

Delayed neutron fraction is ____ isotope dependent

A

strongly

How well did you know this?
1
Not at all
2
3
4
5
Perfectly
16
Q

Delayed neutron fraction is ______ energy dependent

17
Q

The total delayed neutron precursoer decay constant is given by

18
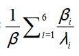
Q

β is

A

the sum of the delayed fractions for each group

19
Q

equation and definition

A

average delayed neutron lifetime

20
Q

define

A

the number of radioactive precursors producing neutrons

21
Q

define

A

rate of delayed neutron production

22
Q

Precursors of type i produced per second equation

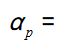
24
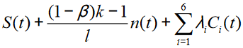
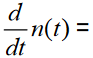
Q

Neutron balance equation (in terms of k, β, and l) w/ delayed neutrons

25
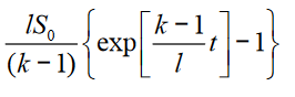
Precursor equation (in terms of k, β, and l)
26
k with delayed neurtons
27
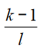
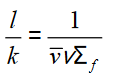
l with delayed neutrons
28
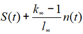
Neutron balance eqn in terms of reactivity and generation lifetime
29
When the reactivity is not large, _____ can be approximated as 1
Λ
30
The reactor period is determined by setting _____ equal to zero and finding a solution in the form ______ and \_\_\_\_\_\_.
source, n(t)=A\*exp(ωt), and Ci(t) = Bi exp(ωt)
31
The inhour equation is
32
ω is _____ and is typically in units of \_\_\_\_\_
the inverse reactor period, inverse hours
33
For positive reactivity, only _____ is positive. The remaining terms rapidly die away, yielding a solution in the form \_\_\_\_\_\_
ω1, n(t) = A1et/T
34
For ρ \>0, values of ω are
ω1 \> 0 \> ω1+i
35
for ρ \< 0, values of ω are
ωi \< 0
36
For small reactivity ρ ≈ \_\_\_\_\_, T =
βω1/λ, 1/ω1
37
For prompt critical, ρ ≈ \_\_\_\_\_, ω1 = \_\_\_\_\_\_, T = \_\_\_\_\_
38
Imediately following the reactivity change, the precursor concentration will remain essentially unchanged for as long as
λit\<\<1
39
draw graph showing t vs power with and without thermal feedback after a prompt jump