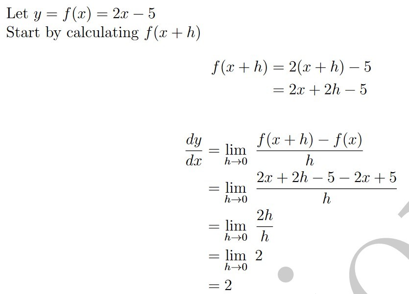
Find the derivative of the following functions by first principals (i.e. using the definition of the derivative).
y= 2x−5

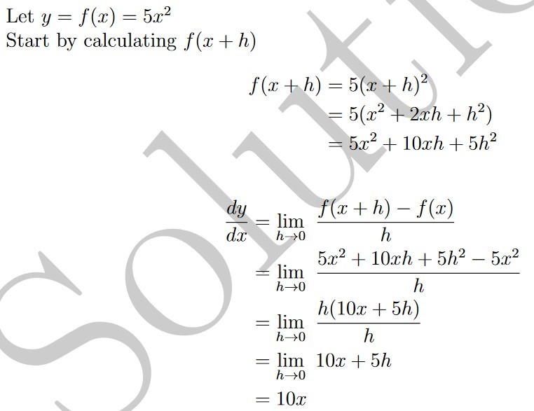
Find the derivative of the following functions by first principals (i.e. using thedefinition of the derivative).
y= 5x2

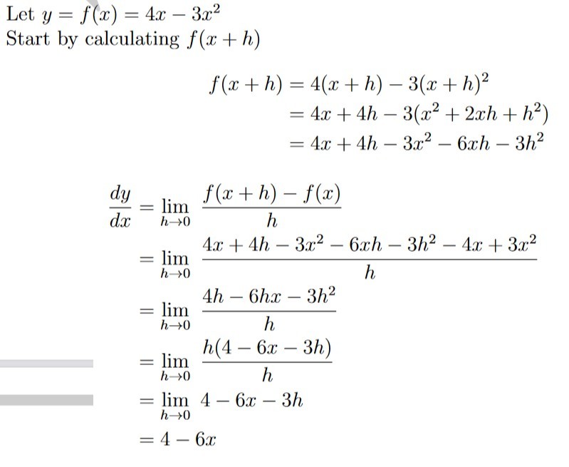
Find the derivative of the following functions by first principals (i.e. using thedefinition of the derivative)
y= 4x−3x2

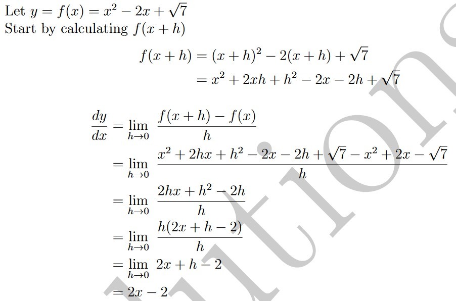
Find the derivative of the following functions by first principals (i.e. using thedefinition of the derivative).
y=x2−2x+√7

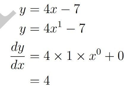
Find dydx for each of the following functions
y= 4x−7

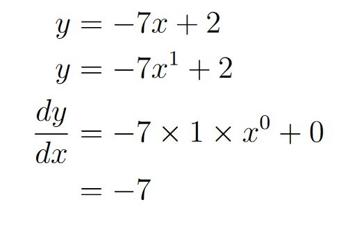
Find dydx for each of the following functions.
y=−7x+ 2

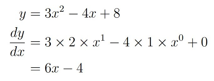
dydx
y= 3x2−4x+ 8

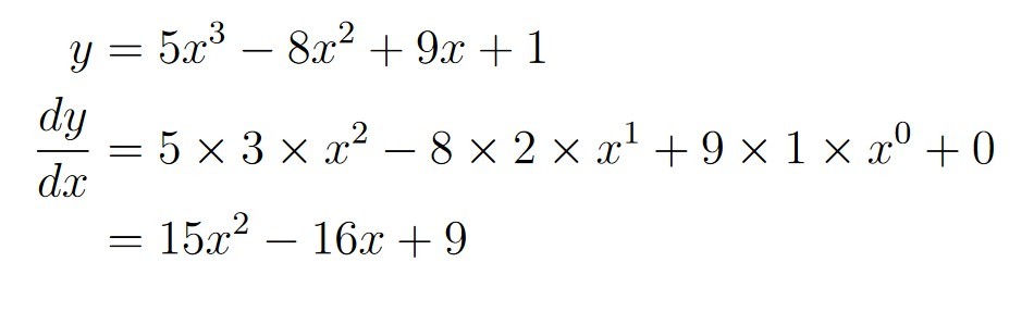
dydx
y= 5x3−8x2+ 9x+ 1

dydx
y=−6x4+ 10x3

dydx
y= 6 sin(x) +x2

dydx
y= 9 cos(x)−3 sin(x)

dydx
y=−4 cos(x) + 7 sin(x)

dydx
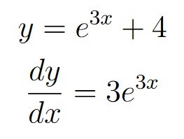
y=e3x+ 4

dydx
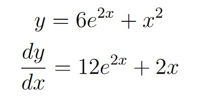
y= 6e2x+x2

dydx
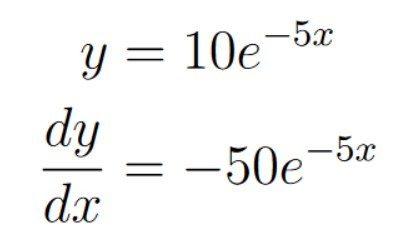
y= 10e−5x

dydx
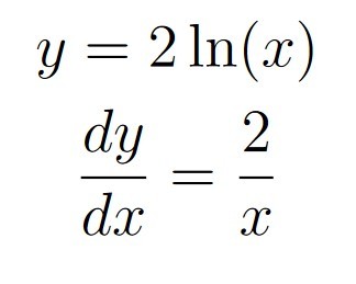
y= 2 ln(x)

dydx
y=−4 ln(x)

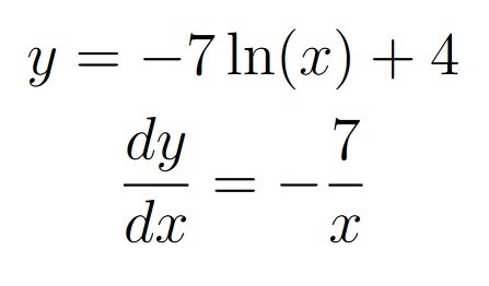
dydx
y=−7 ln(x) + 4

dydx
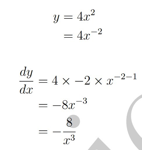
y=4/x2
Hint: At first glance, it may not appear asthough the functions below match the table of derivatives. You may first need to rewrite the function so that it matches the table of derivatives.

dydx
y=−3√x
Hint: At first glance, it may not appear asthough the functions below match the table of derivatives. You may first need to rewrite the function so that it matches the table of derivatives.

dydx
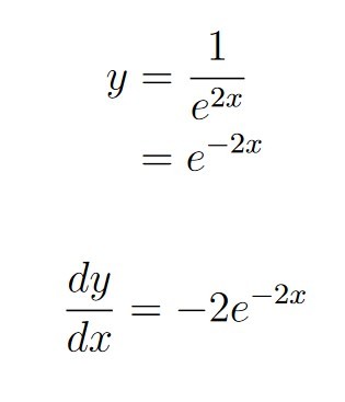
y= 1/e2x
Hint: At first glance, it may not appear asthough the functions below match the table of derivatives. You may first need to rewrite the function so that it matches the table of derivatives.

dydx
y= 5 ln(x2)
Hint: At first glance, it may not appear asthough the functions below match the table of derivatives. You may first need to rewrite the function so that it matches the table of derivatives.

Consider the function
f(x) = 2x3+ 3x2−36x+ 12
where −6 ≤ x ≤ 4.
Determine the greatest and least values for f(x).

Consider the function
f(x) =−x2+ 6x
(a) Find the equation of the tangent to the function
f(x) at x= 2.
