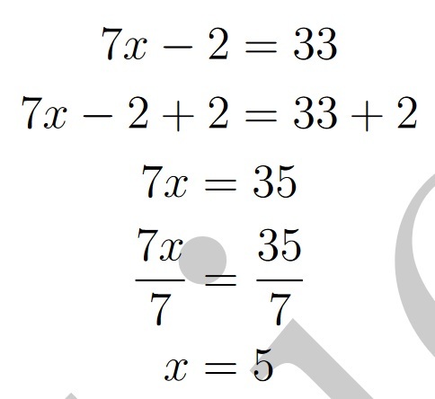
5x+ 4 = 19
5x+ 4 = 19
5x+ 4−4 = 19−4
5x= 15
5x/5=15/5
x= 3


3x+ 9 =−3

−2x+ 6 = 26

x/5 + 2 = 7

2x/3 − 4 = 0

6n+ 8 = 44

5(3m−1) = 70

−18−3h= 5

4x+ 7 = 8−x

2(4y+ 1) = 5(3−y)

7(5−c) = 3(c+ 1)−10







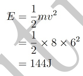
The kinetic energy, E, of an object is given by E=1/2mv2 where m is the mass of the object in kg and v is its velocity in m/s. Kinetic energy is measured in Joules (J).
Find the kinetic energy, E, of an object that has a mass of 8kg and is travelling at 6m/s.

The kinetic energy, E, of an object is given by E=1/2mv2 where m is the mass of the object in kg and v is its velocity in m/s. Kinetic energy is measured in Joules (J).
An object has a kinetic energy of 180J and is travelling at 8m/s. Find the mass of the object.

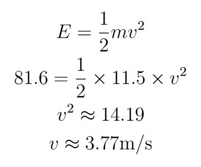
The kinetic energy, E, of an object is given by E=1/2mv2 where m is the mass of the object in kg and v is its velocity in m/s. Kinetic energy is measured in Joules (J).
Find the velocity of an object if it has a mass of 11.5kg and has a kinetic energy of 81.6J.

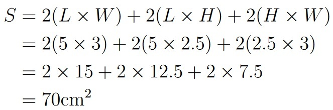
The surface area, S, of a box with length L, width W and height H is given by
S= 2(L×W) + 2(L×H) + 2(H×W).
Find the surface area of a box with a length of 5cm, width of 3cm and a height of 2.5cm.

The surface area, S, of a box with length L, width W and height H is given by
S= 2(L×W) + 2(L×H) + 2(H×W).
Find the height of a box with a surface area of 154.78cm3, a length of 8.5cm and a width of 4.4cm.

n2−4n= 0
n2−4n= 0
n(n−4) = 0
n= 0, n= 4
3h2−27 = 0
3h2−27 = 0
3(h2−9) = 0
3(h−3)(h+ 3) = 0
h= 3, h=−3
k2−13k+ 42 = 0
k2−13k+ 42 = 0
(k−6)(k−7) = 0
k= 6, k= 7
3x2+x−2 = 0
3x2+x−2 = 0
(3x−2)(x+ 1) = 0
x=2/3, x=−1