Linear Functions can be written in 2 ways
Standard form: ππ₯+ππ¦+π=0
Gradient-Intercept form: y=ππ₯+π
Write π¦=3π₯+2 in standard form
π¦=3π₯+2 π¦=3π₯+2(βπ¦) 0=3π₯βπ¦+2 or 3π₯βπ¦+2=0
The gradient intercept form is so called because
if π¦=ππ₯+π then the gradient of the line is π and π is the π¦ value where the line cuts the y axis.
slope is also called the gradient, which is calculated by?
rise/run **(y/x)**
linear function? form
y=mx+c π¦=(3/2)π₯+(1)
dissect linear function form
y=(3/2)x+1 3/2 = gradient/slope = m 1 = y-int = c
y=(3/2)x+1
x intercept (at y = 0)
y=(3/2)x+1
x intercept (at y = 0)
0=(3/2)x+1
y=(3/2)x+1
y intercept (at x = 0)
y=(3/2)x+1
y intercept (at x = 0)
y=(3/2)(0)+1 y=1
Graph 4π₯+2π¦β5=0
using the gradient and y-intercept.
4π₯+2π¦β5=0
2π¦β5 =β4π₯
2y/2= - 4x/2 +5/2
y= -2x + 2 1/2
m = -2 = - 2/1
(means graph will drop from left to right)
y-intercept = 2 1/2
i.e. (0,2 1/2)
Special Linear Equations
There are 2 straight lines that donβt quite fit the form of:
ππ₯+ππ¦+π=0
or
π¦=ππ₯+π.
π₯=3 (or π₯β3=0)
This means every point on this line, π₯ must be 3.
π¦=β2(or π¦+2=0)
Likewise, every point on this line π¦ must equal β2.
the line is positive if it rises from the:
and negative if it rises from the:
positive if Left to Right
negative if Right to Left


Another method for plotting the graph:
π¦ = 3/2π₯ + 1

Finding the equation of lines, given one point and the gradient.
Sometimes we know a line passes through a given point and we know the gradient, hence
we can find the equation of this line. This requires the rule:
π - π1 = π(π - π1)
where (π₯1, π¦1) is the point the line passes through and π is the gradient
Find the equation of the line that passes through (-3,4) with a gradient of 2
(-3,4) with a gradient of 2
(π₯1, π¦1) β (-3,4) (i.e. π₯1 = -3, π¦1 = 4)
π = 2
π¦ - π¦1 = π(π₯ - π₯1)
π¦ - 4 = 2(π₯ - (-3))
π¦ - 4 = 2(π₯ + 3)
π¦ - 4 = 2π₯ + 6
π = ππ + ππ
Check: (because (-3,4) lies on this line, when we substitute in π₯ = -3 we should get π¦ = 4)
π¦ = 2 Γ (-3) + 10
π¦ = -6 + 10
π¦ = 4
Also π¦ = 2π₯ + 10 has a gradient of 2
Find equation of lines through 2 points.
If we know 2 points, we can find gradient, then use π¦ - π¦1 = π(π₯ - π₯1)
Example: Find the equation of the line that passes though (-3,4) and (2, -1)
Solution: Although its not necessary, we may find it useful to quickly sketch the 2 points on
the Cartesian Plane. The gradient of the line joining 2 points (π₯1, π¦1) and (π₯2, π¦2)
is
m=y2-y1/x2-x1
(rise/run)

Parallel lines have the same gradient.
π¦ = 3π₯ - 2 π¦ = 3π₯ + 1 6π₯ - 2π¦ + 5 = 0
all have a gradient of 3 and when sketched will be parallel to each other
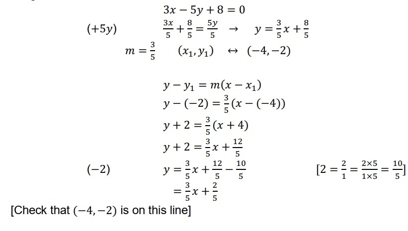
Find the equation of the line passing though (-4, -2) which is parallel to
3π₯ - 5π¦ + 8 = 0
Solution: We know parallel lines have the same gradient, so we need to find the gradient of
the given line.

π¦ = π1π₯ + π1
π¦ = π2π₯ + π2
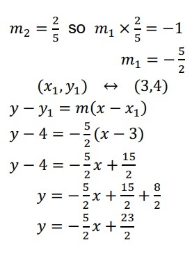
product of gradient? perpendicular
π1 Γ π2 = -1
because they are perpendicular, always -1
Find equation of line through (3,4) that is perpendicular to the line
π¦ =2/5 π₯ - 1

If 2 lines are not parallel to each other
then they will intersect each other at one point (π₯, π¦)
only.
Point of Intersection or the Simultaneous
Solution.
There are 2 methods of finding this
unique solution, Substitution and
Elimination.
Solve
3π₯ + 2π¦ - 6 = 0
and
2π₯ - π¦ + 10 = 0
by substitution
The substitution method entails rearranging one of the equations to get either π₯ or π¦ by itself
and then substituting that value into the other equation.
Solution:
3π₯ + 2π¦ - 6 = 0 β(1)
2π₯ - π¦ + 10 = 0 β(2)
Number both equations, and make sure
both are in the form ππ₯ + ππ¦ + π = 0
Upon inspection we can see that in equation (2) it can be easily rearranged to make π¦ the
subject.
(2)β 2π₯ + 10 = π¦ β(2a)
Now substitute for π¦ in equation (1)
(1)β 3π₯ + 2(2π₯ + 10) - 6 = 0
3π₯ + 4π₯ + 20 - 6 = 0
7π₯ + 14 = 0
7π₯ = -14
π₯ = -2
Now substitute for π₯ = -2 in (2a)
2π₯ - 2 + 10 = π¦
6 = π¦
Answer:
π = -π π = **6**
The Elimination method involves
adding or subtracting the equations
Solve
2π₯ + 7π¦ = 16
and
3π₯ - 6π¦ = 2
by elimination
write each equation in standard form
2π₯ + 7π¦ - 16 = 0 β(1)
3π₯ - 6π¦ - 2 = 0 β(2)
We need to make the co-efficients of either π₯ or π¦ the same
(1) Γ 3 6π₯ + 21π¦ - 48 = 0 β(1a)
(2) Γ 2 6π₯ - 12π¦ - 4 = 0 β(2a)
(1a) β (2a) 33π¦ - 44 = 0
33y = 44
y = 44/33 = 4/3
Sub for π¦ = 4/3 in either (1) or (2) to find π₯
in (1) 2x+7*4/3 -16=0
2x+28/3 - 48/3 = 0
2x=20/3
x=10/3
Answer:
x = 10/3
y = 4/3