Graph the following showing all steps in the transformation from the starting graph.
a) π¦=|π₯+4|β1
start with π¦=π₯+4

start with π¦=π₯β2
(b) We have been asked to draw a graph of y= 3β|xβ2|.

start with π¦=π₯+1
(c) We have been asked to draw a graph ofy+ 2 +|x+ 1|= 0.

{π₯+2 π₯β₯β1
a) π(π₯)= {π₯β2 π₯<β1
{π₯+2 π₯β₯β1
Domain: All real numbers OR ββ< x OR (ββ,β)
Range:f(x)OR (ββ,β3) βͺ [1,β)

2. Sketch the following piecewise function
a) π(π₯)= {π₯β2 x <β1
{π₯+2 π₯β₯β1
i) π(β3)
π(β3) =β3β2 =β5
2. Sketch the following piecewise function
a) π(π₯)= {π₯β2 π₯<β1
{π₯+2 π₯β₯β1
ii) π(0)
π(0) = 0 + 2 = 2
2. Sketch the following piecewise function
a) π(π₯)= {π₯β2 π₯<β1
{π₯+2 π₯β₯β1
iii) π(β1)
π(β1) =β1 + 2 = 1
2. Sketch the following piecewise functions, stating the domain and range.
b) π(π₯)={2βπ₯ π₯β€β1
{3 β1<π₯<3
{2π₯β5 π₯β₯3
b) π(π₯)={2βπ₯ π₯β€β1
{3 β1<π₯<3
{2π₯β5 π₯β₯3
Domain: All real numbers OR ββ< x OR (ββ,β)
Range:g(x)β₯1 OR [1,β)

2. Sketch the following piecewise function
b) π(π₯)={2βπ₯ π₯β€β1
{3 β1<π₯<3
{2π₯β5 π₯β₯3
i) π(β4)
b) π(π₯)={2βπ₯ π₯β€β1
{3 β1<π₯<3
{2π₯β5 π₯β₯3
g(β4) = 2ββ4 = 6
π¦=|π₯|
with a vertical line on either side of the π₯.
|π₯|can be thought of as how far away from zero π₯ is, where direction is not important.
So no negatives. Hence |3|=3and |β3|=3as both +3and β3are both 3units away from the origin.
Graphing Absolute Functions
Looking at both graphs, where π₯ is positive (on the RHS of the y-axis), the graphs are
identical. But where π₯ is negative, (on LHS of π¦-axis) then π¦ = |π₯| is a mirror image of π¦ =
π₯ (reflected in the π₯-axis)

Domain and Range of π¦ = |π₯|
Clearly from the graph of π¦ = |π₯|
Domain: -β < π₯ < β
Range: 0 β€ π¦ < β

Graph π¦ = |π₯ - 3| + 2

Sketch π¦ = -1 - |3π₯ + 2|

Hybrid or Piecewise Functions
Suppose you are recording some growth in population of some cells over time.
From π‘ = 0 to π‘ = 2 (hours)
the number of cells (in 100βs)
can be modelled by πΆ(π‘) = π‘2 + 1.
So at π‘ =0 we have
πΆ(0) = 02 + 1 = 1 (or 100) cells.
You observe that after π‘ = 2 the population is modelled by the equation πΆ(π‘) = 3π‘ - 1 up until π‘ = 6
When we observe two or more functions over a set domain, we call it a hybrid or piecewise
function. Our example above can be written.





finding the Inverse Function
π(π₯) = _1/2_π₯ + 5

Sketch
y=|x+ 2|

sketch
y=|x|β4

sketch
y=|x+ 3|β1

sketch
y=β|x|+ 2

sketch
y=β|xβ1|+ 3

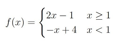
eval
f(-1)

f(β1)
=β(β1) + 4
= 1 + 4
= 5
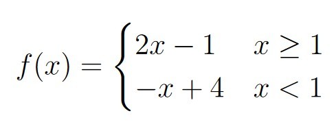
eval
f(0)

f(0)
=β0 + 4
= 4