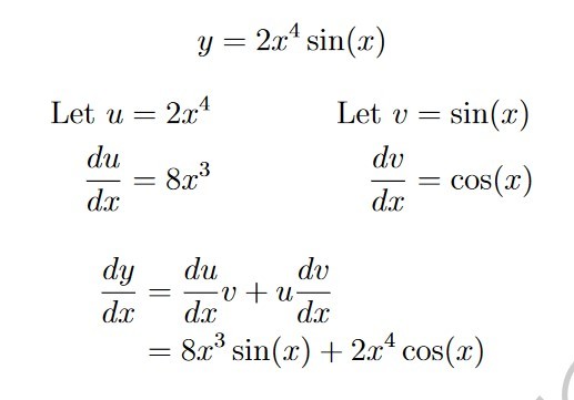
dydx
y= 2x4sin(x)

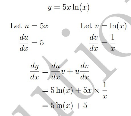
dydx
y= 5xln(x)

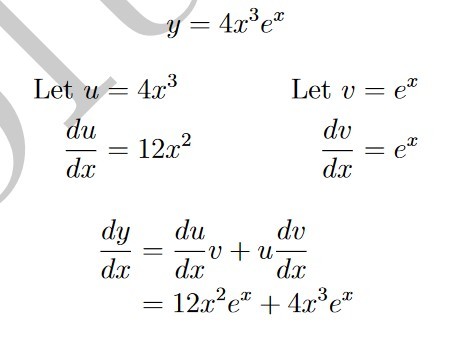
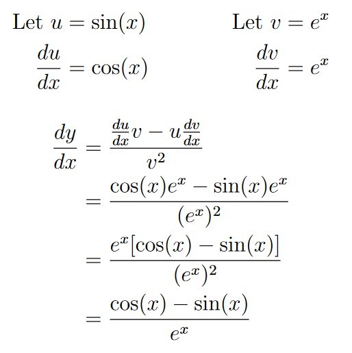
dydx
y= 4x3ex

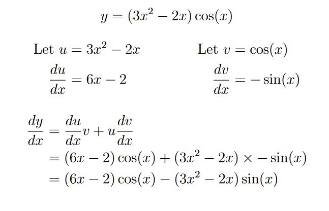
dydx
y= (3x2−2x) cos(x)

dydx
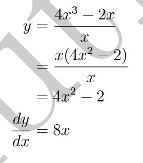
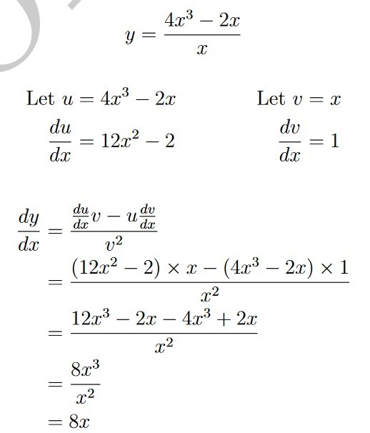
y= (3x−2)(4−x)

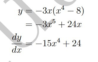
Consider the function
y=−3x(x4−8)
(a) Find dydx by first expanding the function

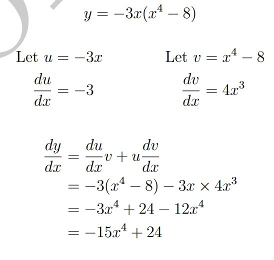
Consider the function
y=−3x(x4−8)
(b) Find dydx by using the product rule and show that it gives the same result as part (a)

dydx


dydx


dydx


dydx


do a)


B


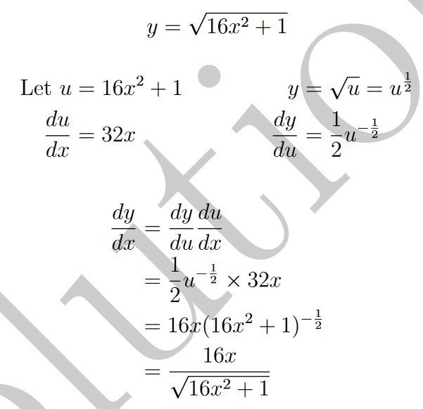
dydx
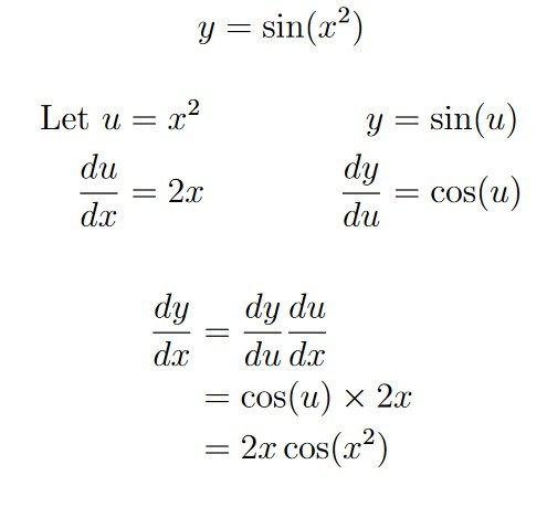
y= sin(x2)

dydx
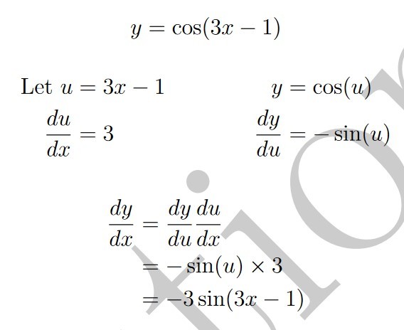
y= cos(3x−1)

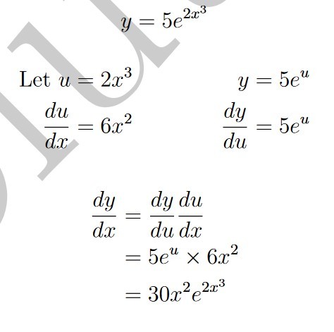
dydx
y= 5e2x^3

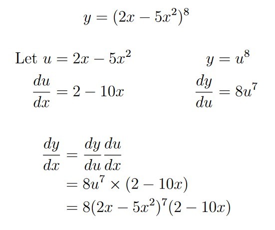
dydx
y= (2x−5x2)8

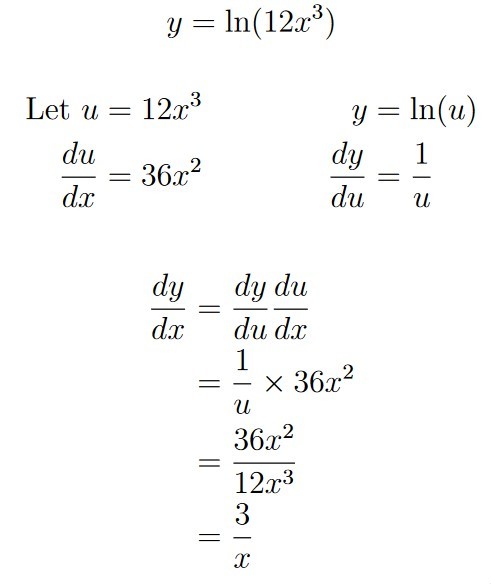
dydx
y= ln(12x3)

dydx


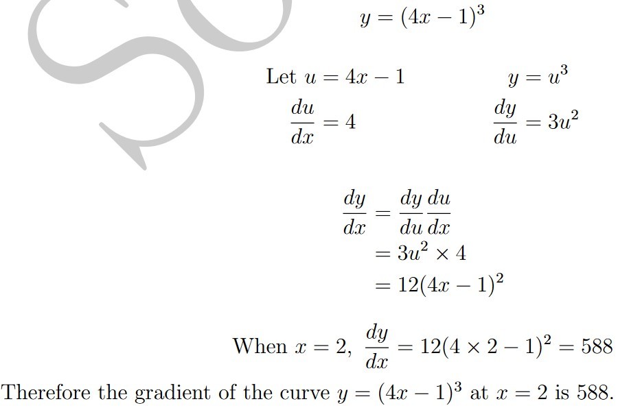
What is the gradient of the curve
y= (4x−1)3
at x= 2

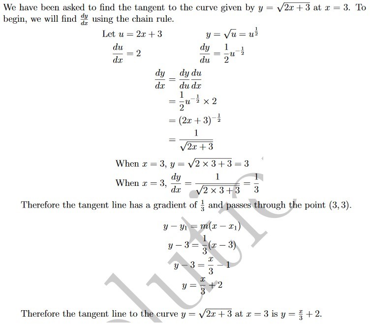
Find the equation of the tangent to the curve
y= √2x+ 3
at x= 3

A


B


C

