State the amplitude, period (in degrees), minimum value of y and maximum values of y for each of the following functions. Sketch each of the following functions, showing at least one full period (starting at x= 0◦).
y= 5 sin(x)

State the amplitude, period (in degrees), minimum value of y and maximum values of y for each of the following functions. Sketch each of the following functions, showing at least one full period (starting at x= 0◦).
y= _1/4_cos(2x)

State the amplitude, period (in degrees), minimum value of y and maximum values of y for each of the following functions. Sketch each of the following functions, showing at least one full period (starting at x= 0◦).
y=−4 sin(2x) + 1

State the amplitude, period (in degrees), minimum value of y and maximum values of y for each of the following functions. Sketch each of the following functions, showing at least one full period (starting at x= 0◦).
y= 3 cos(4x)−2

State the amplitude, period (in degrees), minimum value of y and maximum values of y for each of the following functions. Sketch each of the following functions, showing at least one full period (starting at x= 0◦).
y= 2 sin(x/2)+ 1

State the amplitude, period (in degrees), minimum value of y and maximum values of y for each of the following functions. Sketch each of the following functions, showing at least one full period (starting at x= 0◦).
y= 3 cos(x/4)−3

Sketch each of the following functions (in radians) showing at least one full period (starting at x= 0).
y= 2 sin(x−π/2)

Sketch each of the following functions (in radians) showing at least one full period (starting at x= 0).
y= 3 cos [2(x+π)]

Sketch each of the following functions (in radians) showing at least one full period (starting at x= 0).
y=−cos[1/2(x+π/2)

Sketch each of the following functions (in radians) showing at least one full period (starting at x= 0)
y= sin(4x−π)

Sketch each of the following functions.
y= 3 sin[2(x−π/2)]+ 4 for 0≤x≤2π

Sketch each of the following functions.
y=−6 cos(x+π/2)−2 for −2π≤x≤2π























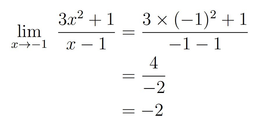
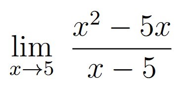
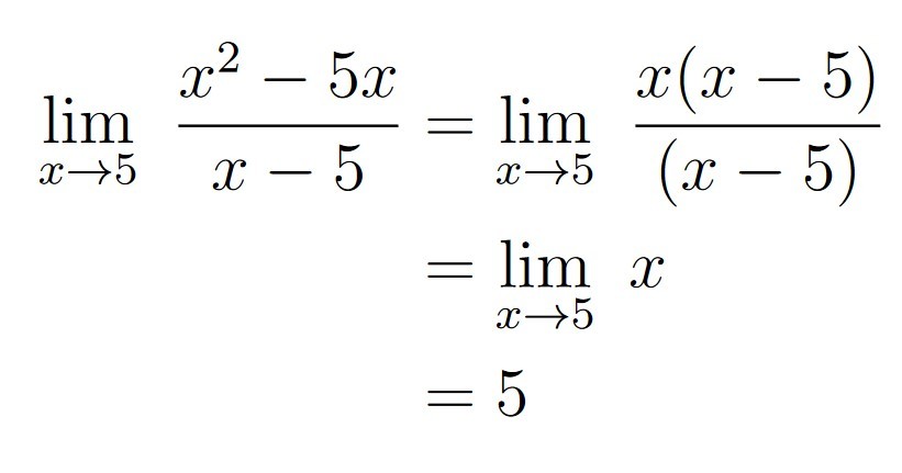
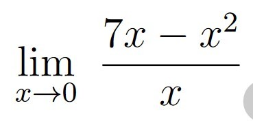
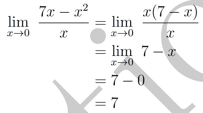
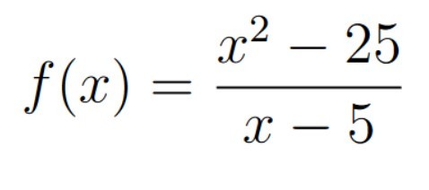
Determine whether the following functions are continuous or discontinuous

