11) Bayesian model comparison Flashcards

(15 cards)

1
Q

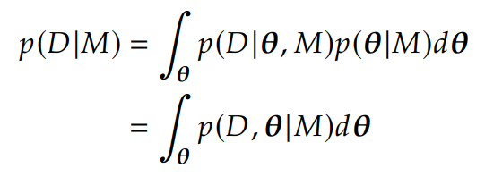
What is the marginal likelihood in Bayesian learning of a model class M

A
How well did you know this?
1
Not at all
2
3
4
5
Perfectly
2
Q

What distinguishes a “simple” model from a “composite” model

A
How well did you know this?
1
Not at all
2
3
4
5
Perfectly
3
Q

How is the likelihood of a composite model M computed

A
How well did you know this?
1
Not at all
2
3
4
5
Perfectly
4
Q

How can the log-marginal likelihood be expressed

A
How well did you know this?
1
Not at all
2
3
4
5
Perfectly
5
Q

How does Bayesian inference account for model complexity

A

Penalty for Complexity: Log-marginal likelihood includes a penalty for the number of parameters
Occam’s Razor: The principle of preferring a less complex model

How well did you know this?
1
Not at all
2
3
4
5
Perfectly
6
Q

What is the Bayes factor

A

The ratio of the likelihoods of the two models

How well did you know this?
1
Not at all
2
3
4
5
Perfectly
7
Q

How do you compare two models M1and M2 using Bayes Factor

A
How well did you know this?
1
Not at all
2
3
4
5
Perfectly
8
Q

What is the orginal scale for Baye’s Factor

A
How well did you know this?
1
Not at all
2
3
4
5
Perfectly
9
Q

What is the modified orginal scale for Baye’s Factor

A
How well did you know this?
1
Not at all
2
3
4
5
Perfectly
10
Q

What is the Bayes factor for simple models

A

If both M1 and M2 are simple models, the Bayes factor is identical to the likelihood ratio of the two models

How well did you know this?
1
Not at all
2
3
4
5
Perfectly
11
Q

What is the Schwarz approximation of the log-marginal likelihood

A
How well did you know this?
1
Not at all
2
3
4
5
Perfectly
12
Q

What is the Bayesian Information Criterion (BIC) for a model M

A
How well did you know this?
1
Not at all
2
3
4
5
Perfectly
13
Q

How can the log-Bayes factor be approximated using BIC

A
How well did you know this?
1
Not at all
2
3
4
5
Perfectly
14
Q

What are true and false positives and negatives in the context of statistical testing

A

True Positive (TP): Elements correctly identified as positive.
True Negative (TN): Elements correctly identified as negative
False Positive (FP): Elements incorrectly identified as positive
False Negative (FN): Elements incorrectly identified as negative

How well did you know this?
1
Not at all
2
3
4
5
Perfectly
15
Q

What are the definitions of True Negative Rate (TNR), True Positive Rate (TPR), and Accuracy

A
How well did you know this?
1
Not at all
2
3
4
5
Perfectly