5) Sampling and Convergence Flashcards

(15 cards)

1
Q

What is a random sample of size n from a distribution Fx

A
How well did you know this?
1
Not at all
2
3
4
5
Perfectly
2
Q

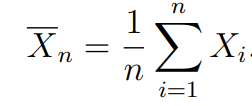
What is the sample mean

A
How well did you know this?
1
Not at all
2
3
4
5
Perfectly
3
Q

What are the expectation and variance of the sample mean

A
How well did you know this?
1
Not at all
2
3
4
5
Perfectly
4
Q

What is Markov’s inequality

A

When Y is a non-negative random variable.

How well did you know this?
1
Not at all
2
3
4
5
Perfectly
5
Q

What is Markov’s inequality for when Y can take negative values

A
How well did you know this?
1
Not at all
2
3
4
5
Perfectly
6
Q

What is the inequality for the probability that ∣Y∣≥a for a random variable Y

A
How well did you know this?
1
Not at all
2
3
4
5
Perfectly
7
Q

What is Chebyshev’s inequality

A
How well did you know this?
1
Not at all
2
3
4
5
Perfectly
8
Q

What is Chebyshev’s inequality in terms of standard deviation

A
How well did you know this?
1
Not at all
2
3
4
5
Perfectly
9
Q

What does it mean for the sequence of random variables X1, X2, . . . converges in probability to X as n → ∞

A
How well did you know this?
1
Not at all
2
3
4
5
Perfectly
10
Q

What is the Weak law of large numbers

A
How well did you know this?
1
Not at all
2
3
4
5
Perfectly
11
Q

What does it mean if the sequence of random variables X1, X2, . . . converges in distribution to X as n → ∞

A
How well did you know this?
1
Not at all
2
3
4
5
Perfectly
12
Q

What is the Central limit theorem (CLT)

A
How well did you know this?
1
Not at all
2
3
4
5
Perfectly
13
Q

What are some of the key remarks regarding CLT

A
How well did you know this?
1
Not at all
2
3
4
5
Perfectly
14
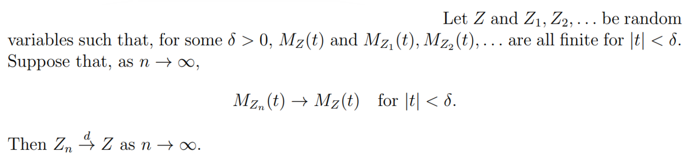
Q

What is the continuity theorem for mgfs

A
How well did you know this?
1
Not at all
2
3
4
5
Perfectly
15
Q

How do you express the limx→a f(x)/g(x) = 0

A
How well did you know this?
1
Not at all
2
3
4
5
Perfectly