2) Multivariate Random Variables Flashcards

(24 cards)

1
Q

When are two events independent

A

P(A ∩ B) = P(A)P(B)

How well did you know this?
1
Not at all
2
3
4
5
Perfectly
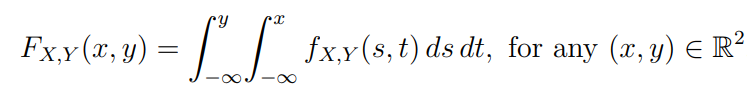
2
Q

What is the joint cumulative distribution function

A
How well did you know this?
1
Not at all
2
3
4
5
Perfectly
3
Q

When are two bivariate random variable independent

A
How well did you know this?
1
Not at all
2
3
4
5
Perfectly
4
Q

What is a discrete bivariate random variable

A

If the range of a bivariate random variable (X, Y ) can only assume countably many values, RX,Y = {(xi, yi) | i ⩾ 1}

How well did you know this?
1
Not at all
2
3
4
5
Perfectly
5
Q

What is the joint probability mass function

A
How well did you know this?
1
Not at all
2
3
4
5
Perfectly
6
Q

What are the properties of the joint pmf

A
How well did you know this?
1
Not at all
2
3
4
5
Perfectly
7
Q

What are the marginal probability mass functions for discrete bivariate random variables

A
How well did you know this?
1
Not at all
2
3
4
5
Perfectly
8
Q

What is the joint probability density function

A

fx,y such that

How well did you know this?
1
Not at all
2
3
4
5
Perfectly
9
Q

What are the properties of the joint pdf

A
How well did you know this?
1
Not at all
2
3
4
5
Perfectly
10
Q

What are the marginal density functions for continuous bivariate random variables

A
How well did you know this?
1
Not at all
2
3
4
5
Perfectly
11
Q

If (X, Y ) ∼ N(µX, µY ; σ2X, σ2Y; ρ), what do we know about the marginal distributions of X and Y

A

The marginal distributions of X and Y are given by X ∼ N(µX, σ2X) and Y ∼ N(µY , σ2Y)

How well did you know this?
1
Not at all
2
3
4
5
Perfectly
12
Q

If (X, Y ) ∼ N(µX, µY ; σ2X, σ2Y; ρ), when are X and Y indepedent

A

If and only if ρ = 0

How well did you know this?
1
Not at all
2
3
4
5
Perfectly
13
Q

Suppose that X and Y are independent discrete random variables with probability mass functions pX(x) and pY (y), respectively. Then, what is the pmf of Z = X + Y

A
How well did you know this?
1
Not at all
2
3
4
5
Perfectly
14
Q

What is the Convolution theorem

A
How well did you know this?
1
Not at all
2
3
4
5
Perfectly
15
Q

What does it mean for a random variable to be independent
and identically distributed

A

The random variables are independent and all have the same distribution (so that FX1 = FX2 = · · · = FXn)

How well did you know this?
1
Not at all
2
3
4
5
Perfectly
16
Q

What is the the conditional probability of A given B

17
Q

What is the Law of Total Probability

18
Q

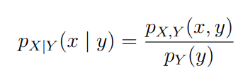
What is the conditional probability mass function

19
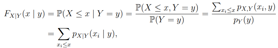
Q

What is the conditional distribution function for discrete variables

20
Q

What is the conditional distribution function for continuous variables

21
Q

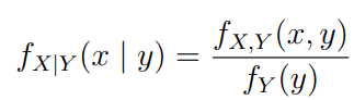
What is the conditional joint probability density function for continuous random variables

22
Q

When are bivariate discrete random variables independent in terms of their conditional pmf

23
Q

When are bivariate continuous random variables independent in terms of their conditional pdf

24
Q

How do you find the joint density fU,V (u,v) of a transformed bivariate continuous random variable (U,V)