6) Multivariate Normal Distribution Flashcards

(15 cards)

1
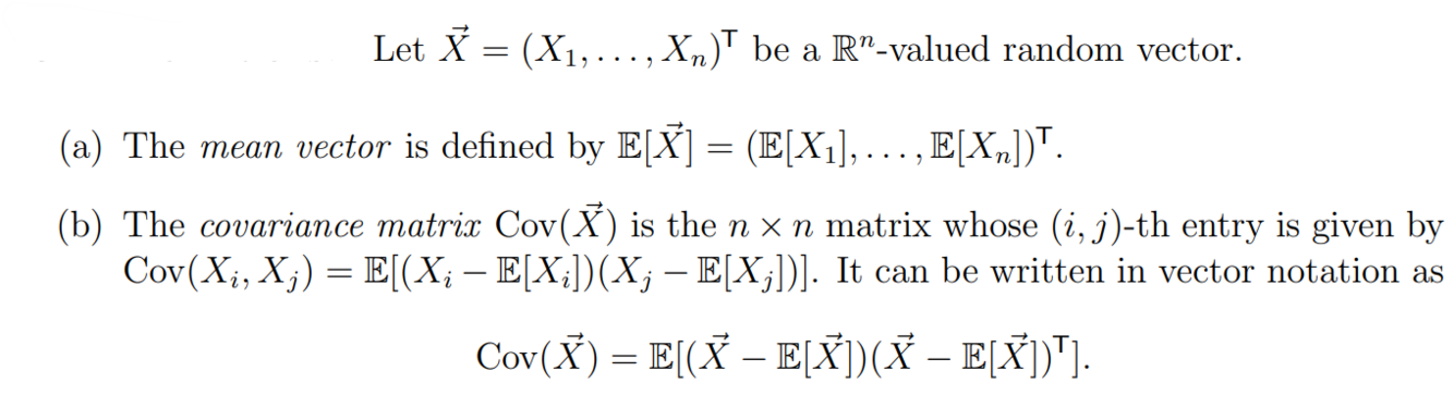
Q

What is the mean vector and covariance matrix

A
How well did you know this?
1
Not at all
2
3
4
5
Perfectly
2
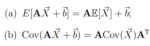
Q

What are the properties of expectation and covariance for a random vector

A
How well did you know this?
1
Not at all
2
3
4
5
Perfectly
3
Q

How does the covariance formula for a transformed random vector generalise the variance formula for random variables

A
How well did you know this?
1
Not at all
2
3
4
5
Perfectly
4
Q

When is a matrix symmetric and a positive semidefinite

A
How well did you know this?
1
Not at all
2
3
4
5
Perfectly
5
Q

What are the properties of the covariance matrices

A
  • symmetric
  • Positive semidefinite
How well did you know this?
1
Not at all
2
3
4
5
Perfectly
6
Q

What is a factor of Σ

A
How well did you know this?
1
Not at all
2
3
4
5
Perfectly
7
Q

What is a a standard multivariate normal distribution

A
How well did you know this?
1
Not at all
2
3
4
5
Perfectly
8
Q

What is a multivariate normal distribution

A
How well did you know this?
1
Not at all
2
3
4
5
Perfectly
9
Q

What are the expectation and covariance of a multivariate normal random vector

A
How well did you know this?
1
Not at all
2
3
4
5
Perfectly
10
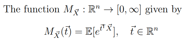
Q

What is the mgf of a random vector

A
How well did you know this?
1
Not at all
2
3
4
5
Perfectly
11
Q

What is the mgf of a multivariate normal random vector

A
How well did you know this?
1
Not at all
2
3
4
5
Perfectly
12
Q

How is the distribution of a random vector defined if it is a linear combination

A
How well did you know this?
1
Not at all
2
3
4
5
Perfectly
13
Q

When are the components of a multivariate normal random vectorindependent

A
How well did you know this?
1
Not at all
2
3
4
5
Perfectly
14
Q
A
How well did you know this?
1
Not at all
2
3
4
5
Perfectly
15
Q

What is the p.d.f. of a multivariate normal random vector Z∼N(0,I)

A
How well did you know this?
1
Not at all
2
3
4
5
Perfectly