4) Generating Functions Flashcards

(25 cards)

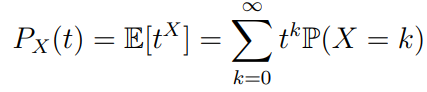
1
Q

What is the probability generating function

A
How well did you know this?
1
Not at all
2
3
4
5
Perfectly
2
Q

If X is finite what does it pgf look like

A

PX(t) is a polynomial function

How well did you know this?
1
Not at all
2
3
4
5
Perfectly
3
Q

How can you find P(X=k) for a discrete random variable X using its pgf

A
How well did you know this?
1
Not at all
2
3
4
5
Perfectly
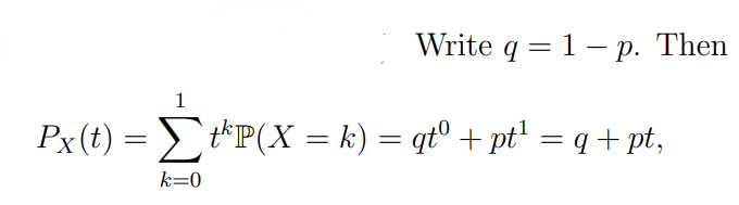
4
Q

What is the pgf for a Bernoulli distribution

A
How well did you know this?
1
Not at all
2
3
4
5
Perfectly
5
Q

What is the pgf for a Binomial distribution

A
How well did you know this?
1
Not at all
2
3
4
5
Perfectly
6
Q

What is the pgf for a Poisson distribution

A
How well did you know this?
1
Not at all
2
3
4
5
Perfectly
7
Q

What is the pgf for a Geometric distribution

A
How well did you know this?
1
Not at all
2
3
4
5
Perfectly
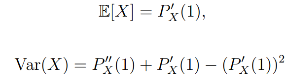
8
Q

How are the expectation and variance of a discrete random variable related to its pgf

A
How well did you know this?
1
Not at all
2
3
4
5
Perfectly
9
Q

What is the pgf for the sum of independent discrete random variables

A
How well did you know this?
1
Not at all
2
3
4
5
Perfectly
10
Q

What is the moment generating function (mgf)

A
How well did you know this?
1
Not at all
2
3
4
5
Perfectly
11
Q

What is the mgf of discrete and continous random variables

A
How well did you know this?
1
Not at all
2
3
4
5
Perfectly
12
Q

What are the properties of mgf

A
How well did you know this?
1
Not at all
2
3
4
5
Perfectly
13
Q

What is the mgf of the Poisson Distribution

A
How well did you know this?
1
Not at all
2
3
4
5
Perfectly
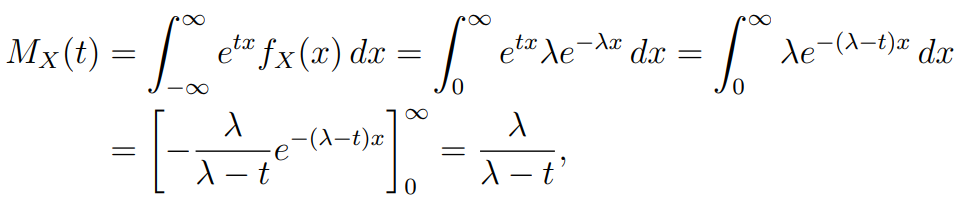
14
Q

What is the mgf of the Exponential Distribution

A
How well did you know this?
1
Not at all
2
3
4
5
Perfectly
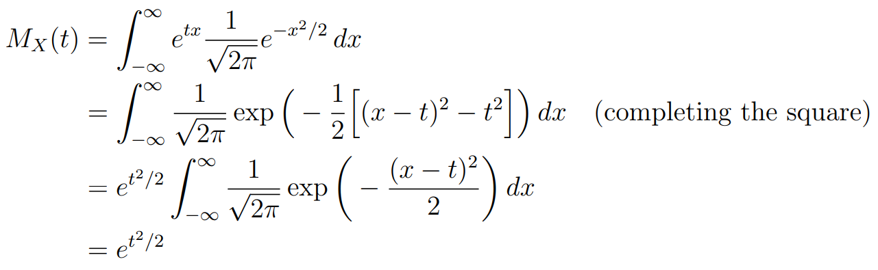
15
Q

What is the mgf of the Standard Normal Distribution

A
How well did you know this?
1
Not at all
2
3
4
5
Perfectly
16
Q

What is the mgf of the Normal Distribution

17
Q

What is the k-th moment of a random variable

18
Q

What are the properties of the mgf if MX(t) < ∞ for all t such that |t| < δ, for some δ > 0

19
Q

What is the mgf of the sum of independent random variables

20
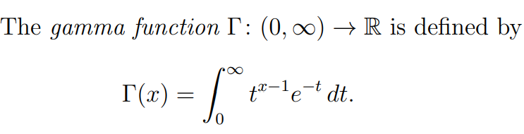
Q

What is the gamma function

21
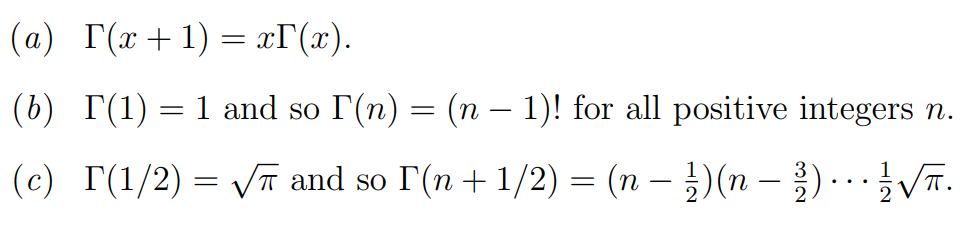
Q

What are the properties of the gamma function

22
Q

What is the pdf of the gamma distribution

23
Q

What is the mgf of the Gamma Distribution

24
Q

What is Wald’s identity

25
What are the properties of the mgf and pgf for a sum of i.i.d. random variables