5) Likelihood-based confidence interval and likelihood ratio Flashcards

(8 cards)

1
Q

What is the Wilks log likelihood ratio statistic

A
How well did you know this?
1
Not at all
2
3
4
5
Perfectly
2
Q

What are the advantages of using a likelihood-based CI

A
  • Not restricted to be symmetric
  • Enables to construct multivariate CIs for parameter vector easily even in non-normal cases
  • Contains normal CI as special case
How well did you know this?
1
Not at all
2
3
4
5
Perfectly
3
Q

What is the quadratic approximation of the Wilks statistic

A
How well did you know this?
1
Not at all
2
3
4
5
Perfectly
4
Q

Under 𝜽0 how is the Wilks statistic distributed

A
How well did you know this?
1
Not at all
2
3
4
5
Perfectly
5
Q

What are the critical values of the likelihood CI

A
How well did you know this?
1
Not at all
2
3
4
5
Perfectly
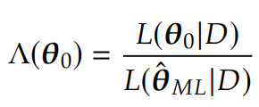
6
Q

What is the likelihood ratio

A
How well did you know this?
1
Not at all
2
3
4
5
Perfectly
7
Q

What is the relationship between the Wilk statistic and the likelihood ratio

A

π‘Š(𝜽0) = βˆ’2 log Ξ›(𝜽0)

How well did you know this?
1
Not at all
2
3
4
5
Perfectly
8
Q

How can the Wilks statistic be related to the KL divergence for specific models

A
How well did you know this?
1
Not at all
2
3
4
5
Perfectly