3) Expectation Flashcards

(26 cards)

1
Q

What is the expectation of a discrete random variable

A
How well did you know this?
1
Not at all
2
3
4
5
Perfectly
2
Q

What is the expectation of a continuous random variable

A
How well did you know this?
1
Not at all
2
3
4
5
Perfectly
3
Q

What is the variance of a random variable X

A
How well did you know this?
1
Not at all
2
3
4
5
Perfectly
4
Q

What is the expectation of a function g(X) for discrete and continuous

A
How well did you know this?
1
Not at all
2
3
4
5
Perfectly
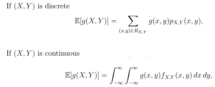
5
Q

What is the expectation of a function g(X,Y) for discrete and continuous

A
How well did you know this?
1
Not at all
2
3
4
5
Perfectly
6
Q

How can the expectation E[g(X,Y)] be expressed when g is just a function of x

A
How well did you know this?
1
Not at all
2
3
4
5
Perfectly
7
Q

What is the linearity of expectation for two functions 𝑔1 and g2 and real numbers α and β

A
How well did you know this?
1
Not at all
2
3
4
5
Perfectly
8
Q

What is the expectation of the product of two functions g(X) and h(Y) for independent random variables X and Y

A
How well did you know this?
1
Not at all
2
3
4
5
Perfectly
9
Q

What is the variance of the linear combination αX+βY for independent random variables X and Y

A
How well did you know this?
1
Not at all
2
3
4
5
Perfectly
10
Q

What is the covariance between random variables X and Y

A
How well did you know this?
1
Not at all
2
3
4
5
Perfectly
11
Q

What are the properties of covariance

A
How well did you know this?
1
Not at all
2
3
4
5
Perfectly
12
Q

What is the variance of the linear combination αX+βY for dependent random variables X and Y

A
How well did you know this?
1
Not at all
2
3
4
5
Perfectly
13
Q

What is the variance of the linear combination ∑aiXi for dependent random variables X1 ,…,X and constants a1,…,an

A
How well did you know this?
1
Not at all
2
3
4
5
Perfectly
14
Q

What is the variance of the linear combination ∑aiXi for independent random variables X1 ,…,X and constants a1,…,an

A
How well did you know this?
1
Not at all
2
3
4
5
Perfectly
15
Q

What is the Cauchy-Schwarz inequality

A
How well did you know this?
1
Not at all
2
3
4
5
Perfectly
16
Q

What is the correlation coefficient

17
Q

When are two random variables uncorrelated

A

If Cov(X, Y ) = 0
(Independent random variables are uncorrelated)

18
Q

What is the the conditional expectation of X given Y = y, for discrete random variable (X, Y )

19
Q

What is the the conditional expectation of X given Y = y, for continuous random variable (X, Y )

20
Q

What is the the conditional expectation of g(X, Y ) given Y = y

21
Q

What is the Law of total expectation

22
Q

How is the law of total expectation expressed for continuous and discrete random variables

23
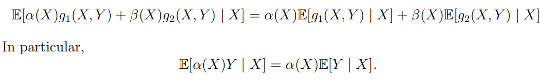
Q

What is the conditional expectation of[α(X)g1(X, Y ) + β(X)g2(X, Y ) given X

24
Q

What is the conditional expectation E[g(X)∣Y] when X and Y are independent

25
What is the conditional variance of Y given X = x
26
What is the law of total variance