Binomial expansion Flashcards

(10 cards)

1
Q

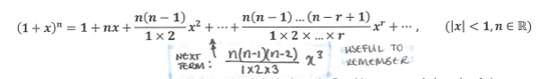
What is the binomial expansion formula

A
How well did you know this?
1
Not at all
2
3
4
5
Perfectly
2
Q

How to solve a binomial expansion question

A

Steps:
1) work out what n = , and what bx =
2) put it in the formula
3) simplify

How well did you know this?
1
Not at all
2
3
4
5
Perfectly
3
Q

How to work out validity for a binomial expansion question

A

steps:
1) put bx into modulus lines being < 1
2) remove any negatives off of bx because of modulus
3) solve for x

How well did you know this?
1
Not at all
2
3
4
5
Perfectly
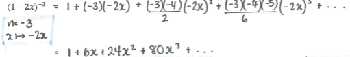
4
Q

How to check for a binomial expansion question

A

steps:
1) put x = 0.01
2) in your calculator work out what the solution is using the question (not the expansion)
3) in your calculator work out the solution using your expansion
4) equal them to each other if it is correct both solutions should be the same up to the 5th decimal place

How well did you know this?
1
Not at all
2
3
4
5
Perfectly
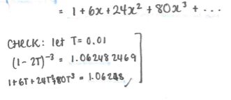
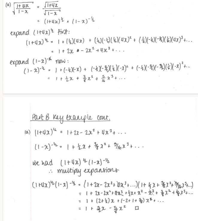
5
Q

How to work out a double binomial expansion

A

Steps:
1) do the first binomial expansion
2) then do the second
3) multiply them together to get the final answer

How well did you know this?
1
Not at all
2
3
4
5
Perfectly
6
Q

How to solve binomial expansion when it doesn’t start with 1
(trickier series expansion)

A

steps:
1) factorise whats inside the brackets with the number your taking out
2) place the factorised number on the outside to the power of what was placed on the brackets
3) solve the question like a normal binomial expansion
4) multiply all of the x terms by the factorised number to get the answer

In this example had to do double binomial expansion, multiplying both solutions together then finally multiplying by the combined factorised number to the solution

How well did you know this?
1
Not at all
2
3
4
5
Perfectly
7
Q

how to work out validity when the equation doesn’t start with a 1
(trickier validity)

A

steps:
1) factorise out the number to make 1
2) bx should be divided by the factorised number
3) do validity as normal for the new bx

In this example, divided -3x (bx) by 8 = -3/8x
then tested validity for -3/8x

How well did you know this?
1
Not at all
2
3
4
5
Perfectly
8
Q

How to work out validity when the equation doesn’t start with a 1 and uses double binomial expansion
(trickier series expansion and validity)

> only question 2

A

steps:
1) factorise out the number to make 1
2) bx should then be divided by the factorised number
3) do validity as normal but for the new bx
4) repeat this for the second binomial equation
5) create a scale placing each number in order
4) the largest number that works for both binomial equations is the validity

this is because the validity won’t work for both binomial equations if the validity used for one expansion is bigger than the other expansion

How well did you know this?
1
Not at all
2
3
4
5
Perfectly
9
Q

How to do approximations for a binomial expansion

A

Steps:
1) expand the binomial equation like normal
2) substitute in the X value given into the RHS
3) then substitute in the X value for the LHS
4) make the LHS = RHS
5) If the approximation in the question is on the bottom of the LHS recipricate both the LHS and RHS to get it to the top
6) solve for the approximation
7) in your calculator write down what the RHS = , and what the approximation = on the LHS

If they are the same for up to 3 decimal places the answer is correct

How well did you know this?
1
Not at all
2
3
4
5
Perfectly
10
Q
A

how to inc. error %

How well did you know this?
1
Not at all
2
3
4
5
Perfectly