Differentiation Flashcards

(25 cards)

1
Q

What is the concave region of a graph

A

the rate of change of the gradient is decreasing

How well did you know this?
1
Not at all
2
3
4
5
Perfectly
2
Q

What is the point of inflection region of a graph

A

The point of the graph where the gradient isn’t increasing or decreasing

How well did you know this?
1
Not at all
2
3
4
5
Perfectly
3
Q

what is the convex region of the graph

A

where the rate of change of the gradient is increasing

How well did you know this?
1
Not at all
2
3
4
5
Perfectly
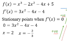
4
Q

how to find the stationary points on a graph

A

1) differentiate the equation
2) set to 0 then solve for X

How well did you know this?
1
Not at all
2
3
4
5
Perfectly
5
Q

how to tell whether a stationary point is a minimum or a maximum

A

1) find the stationary points
2) differentiate again
3) set on of them = 0

if it is > 0 then it is a minimum
if it is , 0 it is a maximum
4) then do it for the other X value

How well did you know this?
1
Not at all
2
3
4
5
Perfectly
6
Q

What is the difference between maximmum/minimum points and concave/convex points?

A

concave and convex points aren’t looking at a single point but a set of points

How well did you know this?
1
Not at all
2
3
4
5
Perfectly
7
Q

How to find the concave/convex points on a graph

A

basically the same as a minimum/maximum point, but after differentiating a second time

Put a stationary point in and if it is <= 0 it is concave
and if it is >= 0 it is convex

How well did you know this?
1
Not at all
2
3
4
5
Perfectly
8
Q

what is the difference between a stationary point of inflection and a non stationary point of inflection

A
How well did you know this?
1
Not at all
2
3
4
5
Perfectly
9
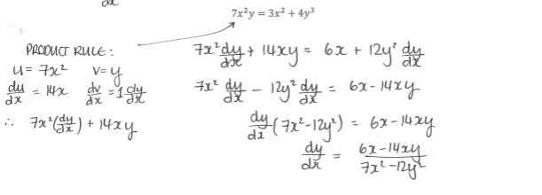
Q

How to implicit differentiate

A

steps:
1) differentiate all terms, any terms with y put (dy/dx) next to them
-> If there are X and y terms together use the product rule to differentiate
2) collect all the terms with (dy/dx) next to them on one side and the rest on the other
3) factor out dy/dx
4) then divide by the terms that are inside the brackets of dy/dx

How well did you know this?
1
Not at all
2
3
4
5
Perfectly
10
Q

If a line is to the normal of another how do you find the gradient(m) of the normal line

A

the negative reciprocal of the other gradient

How well did you know this?
1
Not at all
2
3
4
5
Perfectly
11
Q

How to proof a^x

A
How well did you know this?
1
Not at all
2
3
4
5
Perfectly
12
Q

How to do chain rule differentiation

A

Steps:
1) bring the derivative inside the brackets to the front
2) bring the power down and minus 1 off of it
3) multiply it by the derivative and the brackets

How well did you know this?
1
Not at all
2
3
4
5
Perfectly
13
Q

Product rule formula

A
How well did you know this?
1
Not at all
2
3
4
5
Perfectly
14
Q

Quotient rule formula

A
How well did you know this?
1
Not at all
2
3
4
5
Perfectly
15
Q

need to do differentiation of first principals

A

proof of it

How well did you know this?
1
Not at all
2
3
4
5
Perfectly
16
Q

differentiation of

17
Q

differentiation of

18
Q

differentiation of

19
Q

differentiation of

20
Q

differentiation of

21
Q

differentiation of

22
Q

differentiation of

23
Q

differentiation of

24
Q

differentiation of

25
differentiation of