Differential equations Flashcards

(9 cards)

1
Q

How to solve first order differential equations

A
How well did you know this?
1
Not at all
2
3
4
5
Perfectly
2
Q

what are 3 key concepts of forming differential equations

A
How well did you know this?
1
Not at all
2
3
4
5
Perfectly
3
Q

what is key concept 1 of forming differential equations

A
How well did you know this?
1
Not at all
2
3
4
5
Perfectly
4
Q

what is key concept 2 of forming differential equations

A
How well did you know this?
1
Not at all
2
3
4
5
Perfectly
5
Q

what is key concept 3 of forming differential equations

A
How well did you know this?
1
Not at all
2
3
4
5
Perfectly
6
Q

directly vs indirectly proportional

A
How well did you know this?
1
Not at all
2
3
4
5
Perfectly
7
Q

How to do forming differential equations

A

You have to read each question as the answer is just coded in the question

How well did you know this?
1
Not at all
2
3
4
5
Perfectly
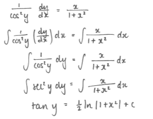
8
Q

what is a general solution when solving first order differential equations and example

A

when you haven’t been given the boundary conditions for x and y

How well did you know this?
1
Not at all
2
3
4
5
Perfectly
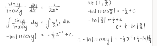
9
Q

What is a particular solution when solving first order differential equations and example

A

When you are given the boundary conditions for x and y, and you use these to replace solve for c and get a full integration answer

How well did you know this?
1
Not at all
2
3
4
5
Perfectly