Coordinate & circle geometry Flashcards

(26 cards)

1
Q

what is the construction form

A
How well did you know this?
1
Not at all
2
3
4
5
Perfectly
2
Q

how do you find the distance between 2 points (two ways)

A
How well did you know this?
1
Not at all
2
3
4
5
Perfectly
3
Q

How do you find the midpoint

A
How well did you know this?
1
Not at all
2
3
4
5
Perfectly
4
Q

equation of a circle

A
How well did you know this?
1
Not at all
2
3
4
5
Perfectly
5
Q

how would you find the equation of a circle when not given a letter in an equation

A
How well did you know this?
1
Not at all
2
3
4
5
Perfectly
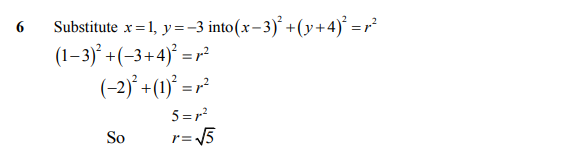
6
Q

how would you solve this question

A
How well did you know this?
1
Not at all
2
3
4
5
Perfectly
7
Q

formula to find the gradient (m)

A
How well did you know this?
1
Not at all
2
3
4
5
Perfectly
8
Q

parallel and perpendicular lines

A
How well did you know this?
1
Not at all
2
3
4
5
Perfectly
9
Q

how to find the point of intersection of two lines

A
How well did you know this?
1
Not at all
2
3
4
5
Perfectly
10
Q

when are two quantities in direct proportion

A
How well did you know this?
1
Not at all
2
3
4
5
Perfectly
11
Q
A
How well did you know this?
1
Not at all
2
3
4
5
Perfectly
12
Q

how to solve this perpendicular bisector question

A

steps:
1) find the q by finding the gradient of XY
2) find the midpoint of XY
3) substitute the x and y values from the midpoint into the perpendicular equation to find b

How well did you know this?
1
Not at all
2
3
4
5
Perfectly
13
Q

perpendicular bisectors always…

A

go through the midpoint

How well did you know this?
1
Not at all
2
3
4
5
Perfectly
14
Q

how to find the radius of this question

A

steps:
1) pythagoras theorem using the x value of the point on the circle + the x value of the equation of the circle
2) same for the y value
3) get r

How well did you know this?
1
Not at all
2
3
4
5
Perfectly
15
Q

how to show that this line doesnt go through the circle

A

steps:
1) start as if you were to prove that is does and sub in what y = into the circle equation
2) expand and simplify
3) put it into the discriminant to test for roots
4) if it is less than 0 then it has no roots

How well did you know this?
1
Not at all
2
3
4
5
Perfectly
16
Q

what is the discriminant equation and when do i use it

A

use it when proving whether lines meet or there are roots

17
Q

properties of a tangent

18
Q

properties of a chord

19
Q
A

steps:
1) find the gradient of AB
2) find the gradient of BC
3) multiply them together if the 2 gradients together = -1 then they are perpendicular

this uses the circle theory that a triangle within a semi-circle where it touches the circle will be a 90 degree angle

21
Q

T for TOOLS

A

triangle area

can only use it if an angle is between two variables

22
Q

first O for TOOLS

23
Q

how to convert degrees to radians

24
Q

second O for TOOLS

25
L for TOOLS
The last resort -> cosine rule
26
S for TOOLS
Sine Rule