trigonometry Flashcards

(45 cards)

1
Q

how to solve this question

A
How well did you know this?
1
Not at all
2
3
4
5
Perfectly
2
Q

how to solve this question

A
How well did you know this?
1
Not at all
2
3
4
5
Perfectly
3
Q

how to solve this question

A
How well did you know this?
1
Not at all
2
3
4
5
Perfectly
4
Q

to find the other solutions when solving a trig function for sin

A

180 - x

How well did you know this?
1
Not at all
2
3
4
5
Perfectly
5
Q

to find other solutions when solving a trig function for cos

A

360 - x and 360 + x

How well did you know this?
1
Not at all
2
3
4
5
Perfectly
6
Q

to find other solutions when solving a trig function for tan

A

180 + x

How well did you know this?
1
Not at all
2
3
4
5
Perfectly
7
Q

how to solve this question

A
How well did you know this?
1
Not at all
2
3
4
5
Perfectly
8
Q

how to solve this question

A

steps:
1) hidden quadratic so sub sin = y
2) solve for y and factorise
3) replace y with sin again and solve for x

How well did you know this?
1
Not at all
2
3
4
5
Perfectly
9
Q

what is a trig identity linkig sin and cos = 1

A
How well did you know this?
1
Not at all
2
3
4
5
Perfectly
10
Q

what is a trig identity linking sin and cos to tan

A
How well did you know this?
1
Not at all
2
3
4
5
Perfectly
11
Q
A
How well did you know this?
1
Not at all
2
3
4
5
Perfectly
12
Q
A
How well did you know this?
1
Not at all
2
3
4
5
Perfectly
13
Q
A
How well did you know this?
1
Not at all
2
3
4
5
Perfectly
14
Q

sin and cosec graph

A
How well did you know this?
1
Not at all
2
3
4
5
Perfectly
15
Q

cos and sec graph

A
How well did you know this?
1
Not at all
2
3
4
5
Perfectly
16
Q

tan and cot graph

A
How well did you know this?
1
Not at all
2
3
4
5
Perfectly
17
Q

what are 2 Pythagorean identities

A
How well did you know this?
1
Not at all
2
3
4
5
Perfectly
18
Q

cot and cosec pythagoream identity

A

1 with a cot is cosy

How well did you know this?
1
Not at all
2
3
4
5
Perfectly
19
Q

tan and sec pythagoream identity

A

1 with a tan is secsy

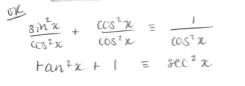
20
Q

prove that

21
Q

what has to happen for us to have inverse functions (draw it on a graph)

A

1-to-1 mapping

22
Q

how to do the domain and range of arcsin

A

steps:
1) must have 1-to-1 mapping so restrict domain of sin to pie/2 and -pie/2
2) range would be -1 and 1 for sin
3) for arc sin switch the domain and range around

23
Q

how to do the domain and range of arccos

A

steps:
1) must have 1-to-1 mapping restrict domain of cos to 0 and pie
2) the range would be 1 and -1
3) for arccos switch the domain and range around

24
Q

how to do the domain and range of arctan

A

steps:
1)must have 1-to-1 mapping so restrict the domain to pie/2 and -pie/2
2) the range won’t exist as it is an asymptote and won’t intercept the y values
3) for arctan switch the domain and range so the domain would be XER

25
what are the 3 trignometric identities
26
manipulating trig identities
27
manipulating trig identities (3 ways to write the cos double angle formula
28
manipulating trig identities
29
how to do this question
steps: 1) use the sin double angle formula 2) calculate the trig with B in it as they are an actual answer and not x 3) solve for x
30
how to do a harmonic form question (R-method)
steps: 1) use the double angle formula on the RHS 2) set the LHS cos = RHS cos and same for sin 3) find R using Pythagoras 4) divide the sin function by the cos one 5) you get tan and solve for alpha PART B 1) use the RHS answer of the last question 2) solve like a normal trig question
31
what is the minimum for this (harmonic form)
32
what is the minimum value for this harmonic form
denominator needs to be the biggest to make the smallest value (minimum)
33
how to solve a and b of this harmonic form question
steps: 1) sin double angle formula on the RHS 2) set the 5 to sin and 12 to cos 3) find R 4) put 5/12 = tanx 5) solve for x PART B 1) work out the max which is the biggest possible value 13+7 2) the minimum would be -13 + 7 which is -6
34
what is one key rule for using small angle approximations
35
small angle approximation for sin
36
small angle approximation for cos
37
small angle approximation for tan
38
small approximation question
steps: 1) use the small approximations for cos and tan 2) expand 3) need to know if x is small (in order to use approximation) x^3 is tiny therefore = 0
39
40
41
42
43
44
45
how to differentiate sin by first principles
https://youtu.be/1fsvZBy0m3Q?si=80vadC-T8dr7NK84