Brainscape
Find Flashcards
Discover millions of Flashcards
Browse Brainscape-Certified Flashcards
Learn faster with our catalog of expert certified, pre-made flashcards.
Browse All Flashcards
Browse our full catalog of user-generated and Brainscape-Certified flashcards.
Explore the
Knowledge Genome
of subjects:
Entrance Exams
Professional Certifications
Foreign Languages
Medical & Nursing
Science
English
Humanities & Social Studies
Mathematics
Law
Vocations
Health & Fitness
Business & Finance
Technology & Engineering
Food & Beverage
Fine Arts
Random Knowledge
Make Flashcards
How It Works
Features Overview
The Science of Studying
Educators
Schools & Teachers
Tutors & Resellers
Businesses
Employee Training
Publishers & Resellers
Academy
Academy Homepage
The Science of Studying
Study Tips
Teaching Tips
Employee Training Tips
Language Learning Tips
Test Prep Tips
Log in
My Dashboard
Get Started
Log out
Maths - Pure
> Exponentials and logs > Flashcards
Exponentials and logs Flashcards
(7 cards)
Study These Flashcards
1
Q
A
How well did you know this?
1
Not at all
2
3
4
5
Perfectly
2
Q
A
How well did you know this?
1
Not at all
2
3
4
5
Perfectly
3
Q
A
How well did you know this?
1
Not at all
2
3
4
5
Perfectly
4
Q
A
How well did you know this?
1
Not at all
2
3
4
5
Perfectly
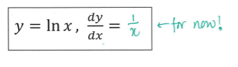
5
Q
differentiate
A
How well did you know this?
1
Not at all
2
3
4
5
Perfectly
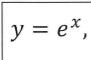
6
Q
differentiate
A
How well did you know this?
1
Not at all
2
3
4
5
Perfectly
7
Q
A
How well did you know this?
1
Not at all
2
3
4
5
Perfectly
Maths - Pure
flashcards
Decks in class (14)
# Cards
Graph sketching & transformations
10
Coordinate & circle geometry
26
Binomial expansion
10
trigonometry
45
Exponentials and logs
7
Vectors
0
Differentiation
25
Integration
29
Parametric equations
5
Functions
2
Sequences and series
16
Numerical methods
1
Differential equations
9
Proof
19