Integration Flashcards

(29 cards)

1
Q

what does this standard integration formula =

A
How well did you know this?
1
Not at all
2
3
4
5
Perfectly
2
Q

what does this integration forumla =

A
How well did you know this?
1
Not at all
2
3
4
5
Perfectly
3
Q

What does this integration formula =

A
How well did you know this?
1
Not at all
2
3
4
5
Perfectly
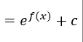
4
Q
A
How well did you know this?
1
Not at all
2
3
4
5
Perfectly
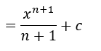
5
Q
A
How well did you know this?
1
Not at all
2
3
4
5
Perfectly
6
Q
A
How well did you know this?
1
Not at all
2
3
4
5
Perfectly
7
Q
A
How well did you know this?
1
Not at all
2
3
4
5
Perfectly
8
Q
A
How well did you know this?
1
Not at all
2
3
4
5
Perfectly
9
Q
A
How well did you know this?
1
Not at all
2
3
4
5
Perfectly
10
Q

What is integration by inspection (GDA)

A

Guess > guess what the integration would be

Differentiate > differentiate your guess

Adjust > if you differentiation doesn’t look like the thing you were told to differentiate, adjust it so it does

How well did you know this?
1
Not at all
2
3
4
5
Perfectly
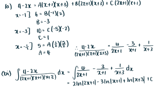
11
Q

How do you do integration by partial fractions

A

> complete partial fractions
then GDA to integrate

Will most likely be a ln

How well did you know this?
1
Not at all
2
3
4
5
Perfectly
12
Q

What acronym should you always use when integrating

A

L - Logs
A - Algebra
T - Trig
E - Exponentials

How well did you know this?
1
Not at all
2
3
4
5
Perfectly
13
Q

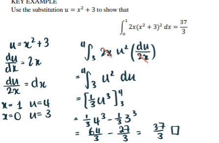
How to do integration by substitution without limits

A

Steps:
1) differentiate u, then adjust to make dx the subject
2) substitute dx into the integration
3) simplify the expression
4) then integrate
5) then replace u to form the whole expression

If it doesnt have any limits the answer should have + C

How well did you know this?
1
Not at all
2
3
4
5
Perfectly
14
Q

How to do integration by substitution with limits

A

Steps:
1)differentiate u by du/dx then make dx the subject, also then use the lmits given as x values to sub into the u = equation to get the new limits
2) substitute dx into the integration
3) simplify the expression
4) integrate
5) use the limits and find a full answer

If the question has = a number like this example that is what you should end up with

How well did you know this?
1
Not at all
2
3
4
5
Perfectly
15
Q

What do you need to do when you are not given a substitution

A
How well did you know this?
1
Not at all
2
3
4
5
Perfectly
16
Q

how to do integration by substitution without a substitution

A

Steps;
1) Pick your u, using LATE and from experience with questions
2) same as the other integrations differentiate u and make dx the subject, if you are given limits substitute them into u = to get the new limits
3) substitute dx into the integration
4) simplify the expression
5) after simplifying something left that isn’t u is part of the u equation
6) adjust the u equation to solve for this number and then substitute that answer back into the integration (this is the second substitution)
7) simplify then integrate

If it has limits find C if not leave it with + C

17
Q

What is a general trick for these integration questions only trig

A

Steps:
1) factor out the derivative of the trig function with the highest power
2) integrate the remaining function as if it was a polynomial

remember you can always substitute like in the answer in the photo

18
Q

How do you integrate these questions

A

Must use the cos double angle formula!

> then make cos or sin the subject and substitute it back in,now you can integrate

19
Q

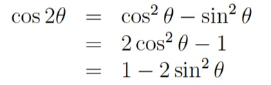
what is the cos double angle formula ( 3 variations)

20
Q

What does the L stand for in the acronym Late and what should you do when using L

21
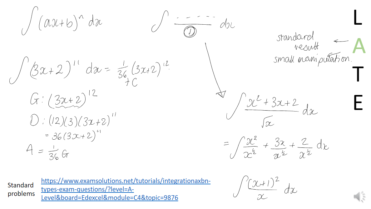
Q

What does the A stand for in the acronym Late and what should you do when using A
(3 things)

A

stand for algebra
3 things to do:
1) standard results (GDA)
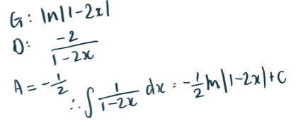
2) Small manipulation
> something/ 1 and then split it = something/1 + something/1 (in the photo)
3) partial fractions

22
Q

What does the T stand for in the acronym Late and what should you do when using T

A

Trig, and that is using the 6 derivatives

23
Q

What does E stand for in the acronym LATE and what should you do when using E (3 things)

A

Stands for exponetials
1) integration using substitution
2) integration by parts
3) trapezium rule

24
Q

What is the integration by parts formula

25
How to solve an integration by parts question
Steps: 1) choose u and dv/dx, by using LATE 2) differentiate u and integrate dv/dx 3) put them into the formula for integration by parts 4) integrate the second part of the equation( this may make you have to do the technique twice - just set it out clearly and you won't get confused 5) simplify and put + c, unless there are limits
26
Area of a trapezium formula
you will be directly asked for the trapezium rule to be used
27
What is h in the trapezium rule
h is the equally spaced gap between each line to find h: find the difference between 2 x values and h should be the same for every gap
28
What is y in the trapezium rule
y is each line of a trapezium
29
How to solve a trapezium rule question
steps: 1) Make a table if one is not given (you should have 5 values if it asks for 4 segments, that how to know if your table is right) 2) find the y values in your table by substituting each X value in 3) find h by finding the difference between 2 X values 4) then put it in the equation