Self Study Questions Topic 1 Flashcards

(30 cards)

1
Q

Expected return

A

probability x return
add up for all states

How well did you know this?
1
Not at all
2
3
4
5
Perfectly
2
Q

variance

A

probability (actual - expected) squared
add up for all states

How well did you know this?
1
Not at all
2
3
4
5
Perfectly
3
Q

standard deviation

A

square root of variance

How well did you know this?
1
Not at all
2
3
4
5
Perfectly
4
Q

covariance

A

probability (actual1- expected1) x (actual2 - expected 2)

How well did you know this?
1
Not at all
2
3
4
5
Perfectly
5
Q

correlation

A

covariance divided by variance x variance

How well did you know this?
1
Not at all
2
3
4
5
Perfectly
6
Q

investment decisions

A

dominates or dominated

dominates = higher return & lower risk
dominated = inefficient, lies below mean variance efficient frontier

How well did you know this?
1
Not at all
2
3
4
5
Perfectly
7
Q

monthly arithmetic return

A

current period - previous period divided by previous period

How well did you know this?
1
Not at all
2
3
4
5
Perfectly
8
Q

expected monthly return

A

add up all arithmetic divide by number of periods

How well did you know this?
1
Not at all
2
3
4
5
Perfectly
9
Q

plotting the MF

A
  • GMRP
  • where cross the x axis
  • std deviation = x-axis
  • return (%) = y-axis
How well did you know this?
1
Not at all
2
3
4
5
Perfectly
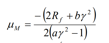
10
Q

CML

A
How well did you know this?
1
Not at all
2
3
4
5
Perfectly
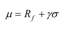
11
Q

slope of CML

A
How well did you know this?
1
Not at all
2
3
4
5
Perfectly
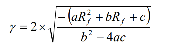
12
Q

market portfolio expected return

A
How well did you know this?
1
Not at all
2
3
4
5
Perfectly
13
Q

GMRP

A

-b / 2a

How well did you know this?
1
Not at all
2
3
4
5
Perfectly
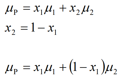
14
Q

composition

A
How well did you know this?
1
Not at all
2
3
4
5
Perfectly
15
Q

holding period return

A
  1. shares held
  2. share value
  3. holding period =
    current share value - period 1 value / period 1 value
How well did you know this?
1
Not at all
2
3
4
5
Perfectly
16
Q

shares held

A

period 1 = 1

previous shares held x ( 1+ current dividend/current share price)

17
Q

share value

A

shares held x share price

18
Q

logarithmic return

A

ln ( 1 + arithmetic)

19
Q

arithmetic

A

current share + divided - previous share divided by previous

20
Q

diversification

A

negative correlation = reduced risk

lower correlation = lie within/inside frontier

21
Q

optimal portfolio with preference function

A

IC = equal a constant and rearrange for mu

slope of I.C = slope of the CML

22
Q

composition regarding lending and borrowing

A

lend if less than the market portfolio

borrow if more than market portfolio

23
Q

short selling

A
  • sells dont own by borrowing
  • buy back later = profit from decline
  • benefit from downwards
  • hedging/risk management
  • manipulation/investor confidence
24
Q

Determine MF

A
  1. inputs
  2. return and risk
  3. optimisation
  4. plot
  5. dominate portfolios
25
critique of MPT
1. assumptions 2. investor criteria sufficient? 3. availability of parameters 4. guide not dictate decisions 5. estimation risk
26
arithmetic vs logarithmic
a = discrete, multiplicative, non symmetric l = continuous, additive, symmetric, normally distributed
27
ambiguity
form of uncertainty unsure about correct probability distribution
28
risk averse vs risk hating
averse & no RF rate = efficient lie on MVE frontier averse & RF rate = CML (combination between risk free and market portfolio) hating = no Rf = lowest point on MVE Rf = entirely rf
29
market portfolio
tangency between CML & MVEmo
30
modern portfolio theory
pros = risk return trade off, diversification, starting points cons = real world = ambiguous, behavioural factors, markets are dynamic