Self Study Questions Topic 4 Flashcards

(18 cards)

1
Q

Future value formula

A
How well did you know this?
1
Not at all
2
3
4
5
Perfectly
2
Q

Present value formula

A
How well did you know this?
1
Not at all
2
3
4
5
Perfectly
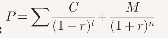
3
Q

Bond price (discrete compounding)

A
How well did you know this?
1
Not at all
2
3
4
5
Perfectly
4
Q

Continuous compounding & discounting formula

A
How well did you know this?
1
Not at all
2
3
4
5
Perfectly
5
Q

Conversion between discrete and continuous rates

A
How well did you know this?
1
Not at all
2
3
4
5
Perfectly
6
Q

Conversion between continuous to discrete rate

A
How well did you know this?
1
Not at all
2
3
4
5
Perfectly
7
Q

Modified duration formula

A
How well did you know this?
1
Not at all
2
3
4
5
Perfectly
8
Q

Change in bond price using convexity

A
How well did you know this?
1
Not at all
2
3
4
5
Perfectly
9
Q

What is spread duration?

A

Change in bond price for a 1% change in credit spread

How well did you know this?
1
Not at all
2
3
4
5
Perfectly
10
Q

current market value of bond (discrete)

A
  1. period
  2. CF (add principal for final period)
  3. PVF (1 / (1+r/2) power of n
  4. PV = CF x PVF
  5. sum up
How well did you know this?
1
Not at all
2
3
4
5
Perfectly
11
Q

current market value of bond (continuous)

A
  1. time in years
  2. CF
  3. PVF (e to power - r x t)
  4. PV
  5. sum up
  • dont discount r
  • make sure have continuous rate
How well did you know this?
1
Not at all
2
3
4
5
Perfectly
12
Q

current market value (not exactly 6 months)

A

discrete = 2 PVF
1/(1+r) power of v x 1/(1+r) power of t-1

v - proportion of 6 months

continuous = CF x PVF (but time in years)

How well did you know this?
1
Not at all
2
3
4
5
Perfectly
13
Q

Duration & Modified Duration (Discrete)

A
  1. period
  2. CF
  3. PVF
  4. PV
  5. PV x pd

duration = sum (Pvxpd) / sum PV

MD = duration/2 divided by (1 +r divided by 2)

How well did you know this?
1
Not at all
2
3
4
5
Perfectly
14
Q

Duration & Modified Duration (Continuous)

A
  1. time (yrs)
  2. CF
  3. PVF
  4. PV
  5. (PV x t)

duration = sum of (PVxt) / sum of PV

How well did you know this?
1
Not at all
2
3
4
5
Perfectly
15
Q

change in bond price

A
How well did you know this?
1
Not at all
2
3
4
5
Perfectly
16
Q

convexity (discrete)

A
  1. period
  2. CF
  3. PVF
  4. PV
  5. (pv x pd)
  6. (pv x pd x (1+pd)

convexity = sum final colum / sum of PV / 4 / (1 + yield/2) squared

17
Q

convexity (continuous)

A
  1. time
  2. CF
  3. PVF
  4. PV
  5. (t x PV)
  6. t squared x PV

convexity = sum of final column / sum of PV

18
Q

convexity and duration if annual coupon

A
  1. time
  2. CF
  3. PVF
  4. PV
  5. t x PV
  6. (t squared + t) x PV

duration = txPV / PV
MD = duration / (1 + yield)

convexity = sum of final column / PV / (1 + yield) squared