Self Study Questions Topic 6 Flashcards

(35 cards)

1
Q

m

A

states

How well did you know this?
1
Not at all
2
3
4
5
Perfectly
2
Q

n

A

basis assets

How well did you know this?
1
Not at all
2
3
4
5
Perfectly
3
Q

complete market

A
  • all possible payoff profiles can be created (replicated in a market) - otherwise = incomplete
  • m states need n greater than or equal to m basis assets

-m states n=m provide complete market with fewest possible basis assets (no redundant)

How well did you know this?
1
Not at all
2
3
4
5
Perfectly
4
Q

redundant assets

A
  • asset created by combination amongst other basis assets = redundant
  • incomplete & complete = have redundant
  • basis assets exceeds number of states = redundant assets

n>m there are n-m redundant basis assets

How well did you know this?
1
Not at all
2
3
4
5
Perfectly
5
Q

linear independence

A
  • cant create any of the basis assets from any combination of the others

columns linearly independent of eachother
rows are linearly independent of eachother

How well did you know this?
1
Not at all
2
3
4
5
Perfectly
6
Q

4 hedging cases

A
  1. complete market without redundant basis assets
  2. complete market with redundant basis assets
  3. incomplete market without redundant basis assets
  4. incomplete market with redundant basis assets
How well did you know this?
1
Not at all
2
3
4
5
Perfectly
7
Q

complete market without redundant basis assets

A

x = inverse matrix A multiplied by b

How well did you know this?
1
Not at all
2
3
4
5
Perfectly
8
Q

complete market with redundant basis assets

A

same as without redundant
but first have to remove (n-m) = the number of redundant basis assets

How well did you know this?
1
Not at all
2
3
4
5
Perfectly
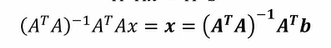
9
Q

incomplete market without redundant basis assets

A
  • transpose matrix A
  • A transposed A is a square matrix and then is inverted

everything before the x on the left just becomes an identity matrix so therefore = 1

How well did you know this?
1
Not at all
2
3
4
5
Perfectly
10
Q

incomplete market with redundant basis assets

A

same as without redundant but have to remove redundant to produce a reduced for A which is not square but has full rank

How well did you know this?
1
Not at all
2
3
4
5
Perfectly
11
Q

type 1 arbitrage

A
  1. no initial inv cost
  2. payoff not negative in any state
  3. payoff positive in at least 1 state
How well did you know this?
1
Not at all
2
3
4
5
Perfectly
12
Q

type 2 arbitrage

A
  1. upfront investment releases cash
  2. payoff is zero

exploits mispricing of a redundant asset (over or under)

How well did you know this?
1
Not at all
2
3
4
5
Perfectly
13
Q

Arbitrage Theorem

A

S = prices in the market
A transpose t = transpose of payoff matrix
fi = column vector of prices for AD securities

if find set of positive state prices which this is satisfied = NO ARBITRAGE

How well did you know this?
1
Not at all
2
3
4
5
Perfectly
14
Q

asset prices using risk-neutral probabilities

A
How well did you know this?
1
Not at all
2
3
4
5
Perfectly
15
Q

risky assets

A
How well did you know this?
1
Not at all
2
3
4
5
Perfectly
16
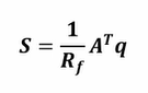
Q

risk neutral probabilities

17
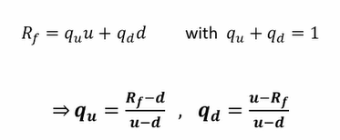
Q

Rf in the binomial case

18
Q

A

A

asset payoffs

19
Q

x

20
Q

Ax

A

portfolio payoff

Ax = b

21
Q

b

A

target focus asset payoffs

payoff vector want to replicate/hedge

22
Q

A⁻¹

A

inverse matrix

adj (B) divided by determinant B

  1. cofactor matrix
  2. transpose cofactor matrix = adj
  3. determinant
  4. adj/determinant
23
Q

Im

A

identity matrix

24
Q

(A^{T}

A

transpose matrix

flip along the diagonal
rows become columns columns become rows

25
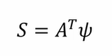
S
asset prices S = fi transposed x b
26
A hat (^)
asset returns
27
e
arrow debreu securities elementary securities
28
φ
fi state prices
29
adj(B)
adjugate matrix transpose of the cofactor matrix
30
|B|
determinant of a matrix remember to swap the signs
31
(B^{C}\)
cofactor matrix replacing each element with its cofactor
32
invertibility of a matrix
find its inverse if - square matrix - full rank - non-zero determinant
33
full rank
- rows are linearly independent - columns are linearly independent - reduction to row-echelon form
34
how do we know if market is complete
1. rows/columns linearly independent 2. payoff matrix has a zero determinant 3. can be inverted 4. can be put in row-echelon form
35
standard row echelon form
main diagonal of 1s lower left anything below that main diagonal composed of zeros