Self Study Questions Topic 5 Flashcards

(34 cards)

1
Q

Binomial Option Pricing Hedge Ratio (also a proof)

A
How well did you know this?
1
Not at all
2
3
4
5
Perfectly
2
Q

Pseudo Probability Measure

A
How well did you know this?
1
Not at all
2
3
4
5
Perfectly
3
Q

One Period Binomial Option Pricing Equation

A
How well did you know this?
1
Not at all
2
3
4
5
Perfectly
4
Q

Nomeclature for 1 period binomial model

A
How well did you know this?
1
Not at all
2
3
4
5
Perfectly
5
Q

Two Period Binomial Option Pricing Equation

A
How well did you know this?
1
Not at all
2
3
4
5
Perfectly
6
Q

Three Period Binomial Option Pricing Equation

A
How well did you know this?
1
Not at all
2
3
4
5
Perfectly
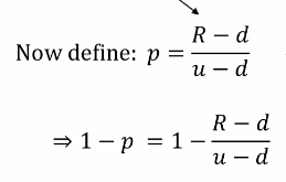
7
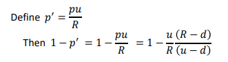
Q

Pseudo Probability Measure P’

A
How well did you know this?
1
Not at all
2
3
4
5
Perfectly
8
Q

N-period binomial option pricing equation

A
How well did you know this?
1
Not at all
2
3
4
5
Perfectly
9
Q

Working out B

A

combination function - number of periods = superscript and number of ups = subscript
x the pseudo probability to power of number of ups x (1-pseudo probability to the power of number of downs)

How well did you know this?
1
Not at all
2
3
4
5
Perfectly
10
Q

Calculating Z statistic for Normal Distribution

A
  1. mean
  2. std deviation
  3. Z statistic = (a - mean) divided by SD
How well did you know this?
1
Not at all
2
3
4
5
Perfectly
11
Q

Min binomial ‘ups’ for positive payoff

A

ROUND UP
(given on formula sheet)

How well did you know this?
1
Not at all
2
3
4
5
Perfectly
12
Q

Put-Call Parity

A
How well did you know this?
1
Not at all
2
3
4
5
Perfectly
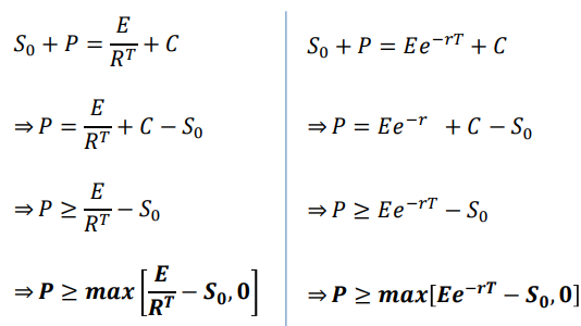
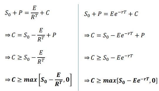
13
Q

Upper Option Price Bounds (European)
also a proof

A
How well did you know this?
1
Not at all
2
3
4
5
Perfectly
14
Q

Lower bounds for European CALL price (no dividends) (proof also)

A

use discrete - time in periods, rate is per period

use continuous - time in years, rate is annual

How well did you know this?
1
Not at all
2
3
4
5
Perfectly
15
Q

Lower bounds for European PUT price (no dividends) (proof also)

A

use discrete - time in periods, rate is per period

use continuous - time in years, rate is annual

How well did you know this?
1
Not at all
2
3
4
5
Perfectly
16
Q

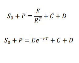
Lower bounds for European option prices WITH dividends

A

-payment of dividends detracts from share price

(just a +D on both of the bounds)

17
Q

Put Call Parity (European options WITH dividends)

18
Q

Bounds for American options prices

19
Q

American option price relationships

20
Q

Early Exercise of American Options
No dividends

21
Q

Early Exercise of American Options
Other cases and with dividends

22
Q

C subscript u

A

u = 1 + proportional change in price

23
Q

C subscript d

A

d = 1 + proportional change in price

24
Q

mean for the normal distribution

A

number of periods multiplied by the correct pseudo probability

25
Std deviation for normal distribution
square root of mean multipled by (1 - pseudo probability)
26
Z statistic for normal distribution
a - the mean all divided by standard deviation
27
Locating Arbitrage Opportunities
- arise when wrongly priced locate via: 1. under/over pricing vs some models/estimations 2. priced outside of theoretical lower/upper bounds 3. non-conformity of prices with put-call parity
28
derivative
financial asset existence depends upon other asset measure (underlying) worth depends on movements in underlying
29
option
right but not obligation to buy/sell underlying class of derivative at predetermined price (exercise price) with reference to expiry date
30
call vs put
CALL = RIGHT TO BUY PUT = RIGHT TO SELL
31
European vs American
European = exercised on expiry American = exercised any point up to & including expiry date American option = has value greater or equal to European (more freedom and less constraints)
32
Attributes/Parameters define option/contribute to value
1. price of underlying 2. exercise price 3. volatility 4. time to maturity 5. risk free rate (6. dividends)
33
why never exercise an American Call Option Early
1. loss time value - unlimited upside, limited downside 2. pay strike early is inefficient - pay later = lower the present value Call american = Call european
34
why sometimes exercise an American Put Option Early
1. immediate receipt of strike price = cash now, invest risk free 2. limited upside remaining = max is E, underlying low - time value is then small 3. no dividends = no benefit Put american greater than or equal to put european