Self Study Questions Topic 3 Flashcards

(36 cards)

1
Q

Expected utility formula

A

probability x wealth + probability x wealth

How well did you know this?
1
Not at all
2
3
4
5
Perfectly
2
Q

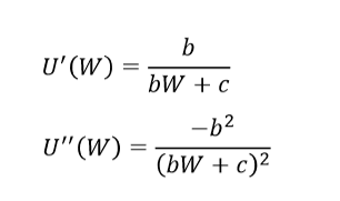
Absolute risk aversion (ARA)

A
How well did you know this?
1
Not at all
2
3
4
5
Perfectly
3
Q

fair lottery/fair gable

A

one that has expected value of zero
risk averse individual avoids

A gamble with zero expected monetary value

How well did you know this?
1
Not at all
2
3
4
5
Perfectly
4
Q

test for legitimate utility function
utility function requirements for risk averse investor

A
How well did you know this?
1
Not at all
2
3
4
5
Perfectly
5
Q

Relative risk aversion (RRA)

A
How well did you know this?
1
Not at all
2
3
4
5
Perfectly
6
Q

What does concave utility imply?

A

Risk Aversion

How well did you know this?
1
Not at all
2
3
4
5
Perfectly
7
Q

Budget constraint with borrowing/lending

A
How well did you know this?
1
Not at all
2
3
4
5
Perfectly
8
Q

indifference curves in regards to utility

A

as far north east
but along an indifference curve utility doesnt change

convex (for concave up decreasing)
diminishing marginal utility in trade off between c0 and c1

How well did you know this?
1
Not at all
2
3
4
5
Perfectly
9
Q

Optimal consumption condition

A
How well did you know this?
1
Not at all
2
3
4
5
Perfectly
10
Q

slope of indifference curve

A

marginal rate of substitution
rate at which consumers trade of consumption today for consumption tomorrow

How well did you know this?
1
Not at all
2
3
4
5
Perfectly
11
Q

marginal rate of substitution

A
How well did you know this?
1
Not at all
2
3
4
5
Perfectly
12
Q

Optimal investment condition

A
How well did you know this?
1
Not at all
2
3
4
5
Perfectly
13
Q

Fisher Separation Theorem

A

Investment and consumption decisions are independent under perfect capital markets

How well did you know this?
1
Not at all
2
3
4
5
Perfectly
14
Q

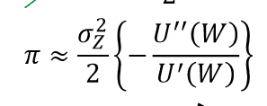
What is the monetary risk premium Ο€?

A

The amount a risk-averse investor pays to avoid a fair bet

How well did you know this?
1
Not at all
2
3
4
5
Perfectly
15
Q

What is the PPF in intertemporal choice?

A

The production possibility frontier showing trade-off between current and future consumption

How well did you know this?
1
Not at all
2
3
4
5
Perfectly
16
Q

What is bootstrapping in bond pricing?

A

A method to derive zero rates from bond prices step-by-step

18
Q

Quadratic utility function

A

c>0
W< b/c (bliss point)

19
Q

differentiating a logarithmic utility function

20
Q

differentiating a negative exponential utility function

25
26
production is optimised in Money market setting (now established capital markets & money market)
𝑀𝑅𝑃 = βˆ’(1 + π‘Ÿ). this is when the MML is just touching the PPF
27
along the MML
present value of income = present value of consumption
28
slope of MML
-(1+r)
29
maximum pay for insurance
value - certain wealth = what you pay for insurance
30
E[u(W)]
sum of probabilities x U(w scenario)
31
U(Wc)
level of certain wealthm
32
min premium insurance company accepts
insured value - E[W] E[W] = probability x wealth
33
Level of wealth indifferent to remaining exposed or taking insurance
E[U(W)] Wc -> using the E[U(W)] compare Wc (certain wealth) to W (uninsured wealth) difference greater than premium = take insurance // if less than premium = no premium(no insurance) level of wealth where indifferent if wealth below = take the insurance if wealth above means not take insurance
34
sole occupation island level produce & consume
1. I.C as a constant 2. equate c1 for IC & PPF 3. quadratic for csquared0 discriminant set to zero just touch 4. constant for indifference curve and sub back in for c1 & c0
35
introduction of MML & Level of production
1. c1 for PPF 2. c1 for MML = B - (1+r)c0 3. equate and discriminant = zero 4. MML sub in B for c1 5. c0 solve when discriminant = 0
36
lending/borrowing to maximise utility
1. highest IC touching MML (IC is a constant) 2. equate c1s 3. quadratic, discriminant = 0 4. c0, c1 values 5. borrow = consumption - endowment lvl 6. repay = borrow (1+r) 7. consume = endowment - repayment