Self Study Questions Topic 8 Flashcards

(16 cards)

1
Q

C from the BSM model
european call

A
How well did you know this?
1
Not at all
2
3
4
5
Perfectly
2
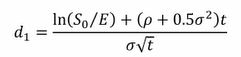
Q

d1 from the BSM model
(ON FORMULA SHEET)

A
How well did you know this?
1
Not at all
2
3
4
5
Perfectly
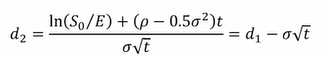
3
Q

d2 from the BSM model

A
How well did you know this?
1
Not at all
2
3
4
5
Perfectly
4
Q

getting from an annually compounded rate to continuously

A

ln (1+ annually compounded rate)

How well did you know this?
1
Not at all
2
3
4
5
Perfectly
5
Q

put call parity

A
How well did you know this?
1
Not at all
2
3
4
5
Perfectly
6
Q

stochastic

A

just means random

How well did you know this?
1
Not at all
2
3
4
5
Perfectly
7
Q

Properties of stochastic processes

A
  1. Markov - no memory (expected value depends only on the previous value)
  2. Martingale - expectation is the future is where we are today (conditional expectation of random variable is the value today)
How well did you know this?
1
Not at all
2
3
4
5
Perfectly
8
Q

key properties of the Brownian motion (definition)

A
  1. starts with zero
  2. continuous paths
  3. independent increments
  4. normal increments
  5. variance grows linearly with time
  6. markov and martingale properties
How well did you know this?
1
Not at all
2
3
4
5
Perfectly
10
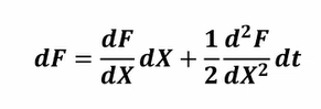
Q

Itô’s Lemma

A

first derivative multiplied by dX and then 0.5 of second derivative multiplied by dt

How well did you know this?
1
Not at all
2
3
4
5
Perfectly
11
Q

key assumptions behind BSM

A
  1. underlying follows a lognormal random walk
  2. risk free interest rate is a known function of time
  3. no dividends
  4. continuous and effective delta hedging
  5. no transactions costs
  6. no arbitrage opportunities
How well did you know this?
1
Not at all
2
3
4
5
Perfectly
12
Q

log returns

A
How well did you know this?
1
Not at all
2
3
4
5
Perfectly
13
Q

varying standard deviation

A

increase = increased value
higher standard deviation = greater upside risk

How well did you know this?
1
Not at all
2
3
4
5
Perfectly
14
Q

calculating implied standard deviaiton

A

trial & error

if value < C then increase std deviation

if value > C then decrease std deviation

std deviation = 0.5 good starting

How well did you know this?
1
Not at all
2
3
4
5
Perfectly
15
Q

Brownian Motion & Standard form of scaled BM with drift & pricing options

A
  • BM = continuous time limit process
  • starts discrete n -> infinity = continuous
How well did you know this?
1
Not at all
2
3
4
5
Perfectly
16
Q

BM with drift equation

A
How well did you know this?
1
Not at all
2
3
4
5
Perfectly
17
Q

BM with drift scaled equation