Self Study Questions Topic 7 Flashcards

(25 cards)

1
Q

S0 (in terms of futures and forwards)

A

s naught
spot price at which can immediately buy or sell the underlying the asset
changes over time

How well did you know this?
1
Not at all
2
3
4
5
Perfectly
2
Q

F0

A

f naught
delivery price which would be written into a new forward or futures contract

How well did you know this?
1
Not at all
2
3
4
5
Perfectly
3
Q

value of a futures or forwards contract

A

contract already been written
change over time

How well did you know this?
1
Not at all
2
3
4
5
Perfectly
4
Q

long position
regarding futures and forwards

A

party that is contracted to buy the underlying i.e receive delivery

How well did you know this?
1
Not at all
2
3
4
5
Perfectly
5
Q

short position
regarding futures and forwards

A

sell the underlying

How well did you know this?
1
Not at all
2
3
4
5
Perfectly
6
Q

forward price with no income or costs

A
How well did you know this?
1
Not at all
2
3
4
5
Perfectly
7
Q

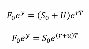
forward price with predictable income stream from underlying

A
How well did you know this?
1
Not at all
2
3
4
5
Perfectly
8
Q

value of a long forward contract

A
T = time in years
How well did you know this?
1
Not at all
2
3
4
5
Perfectly
9
Q

value of a short forward contract

A
How well did you know this?
1
Not at all
2
3
4
5
Perfectly
10
Q

forwards and futures on currencies
(also a proof)

A
How well did you know this?
1
Not at all
2
3
4
5
Perfectly
11
Q

forwards and futures on currencies

A
where rx = foreign
How well did you know this?
1
Not at all
2
3
4
5
Perfectly
12
Q

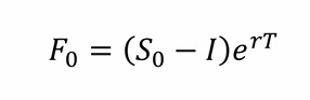
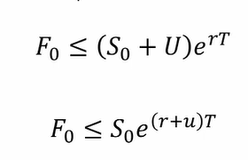
storage costs - investment commodities

A
  • first formula = storage costs upfront and known in advance
  • second = storage treated like an ongoing cost
How well did you know this?
1
Not at all
2
3
4
5
Perfectly
13
Q

storage costs - consumption commodities

A
How well did you know this?
1
Not at all
2
3
4
5
Perfectly
14
Q

convenience yield - consumption commodities

A
How well did you know this?
1
Not at all
2
3
4
5
Perfectly
15
Q

Cost of a carry

A

c
summary measure of the relationship between forward price and spot price

How well did you know this?
1
Not at all
2
3
4
5
Perfectly
16
Q

different cases for cost of a carry

17
Q

investment asset vs consumption asset

A
  • investment = generate future financial returns not direct use or consumption
    (no storage cost)
  • consumption = use or production not financial return
    (used up and has storage costs may have convenience yield)
18
Q

convenience yield

A

benefit of holding the physical asset

19
Q

expected future spot prices

20
Q

typical uses of an interest rate swap

A

converting a liabiltiy from:
fixed -> floating or floating -> fixed

converting an investment from:
fixed-> floating or floating -> fixed

21
Q

credit risk mitigation

A
  1. netting
  2. collateralization
  3. downgrade triggers
22
Q

credit default swaps

A

buyer of CDS acquires protection from seller against a default by the reference entity

23
Q

premium

A

credit default spread

pays a premium of xxx for protection against company xxxx

24
Q

recovery rate

A

ratio of the value of the bond issued by reference entity immediately after default to the face value of the bond

25
attractions of the CDS market
1. credit risks traded in same way as market risks 2. used to transfer credit risks to a third party 3. used to diversify credit risks