Brosius Flashcards

(20 cards)

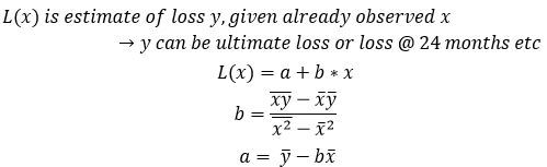
1
Q

Least squares method, formula for L(x), a, and b

A
How well did you know this?
1
Not at all
2
3
4
5
Perfectly
2
Q

link ratio method

A

a=0

L(x)=cx=x/d

use if a<0 becuase y is negative for small values of x

if you decide to switch to link ratio method, need to calculate c and not use b

How well did you know this?
1
Not at all
2
3
4
5
Perfectly
3
Q

budgeted loss method

A

b = 0

L(x) = mean(y)

if b<0, use budgeted loss method

How well did you know this?
1
Not at all
2
3
4
5
Perfectly
4
Q

B-F

A

b=1

How well did you know this?
1
Not at all
2
3
4
5
Perfectly
5
Q

where do LSM, link, and budgeted intersect

A

(mean(x), mean(y))

How well did you know this?
1
Not at all
2
3
4
5
Perfectly
6
Q

what is advantage of least squares

A

Flexibility is advantage since it gives more or less weight to observed value of x as appropriate

How well did you know this?
1
Not at all
2
3
4
5
Perfectly
7
Q

Hugh White’s question: trying to establish reserve and reported portion of expected losses as of statement date for current AY is 8% higher than it “should” be

A
  • reduce bulk reserve -> budgeted loss
  • leave bulk reserve at same % level of expected losses -> BF
  • increase bulk reserve in proportion to increase of actual reported over expected reported -> link ratio
  • all 3 methods are reasonable
How well did you know this?
1
Not at all
2
3
4
5
Perfectly
8
Q

shortcut for c

A

mean(y)/mean(x)

How well did you know this?
1
Not at all
2
3
4
5
Perfectly
9
Q

if prem given

A

calculate LR then apply least squares method

How well did you know this?
1
Not at all
2
3
4
5
Perfectly
10
Q

why is it difficult to compute pure Bayesian estimate Q

A

requires knowledge of loss and loss reporting processes

How well did you know this?
1
Not at all
2
3
4
5
Perfectly
11
Q

why is best linear approx a good replacement to Bayesian?

A

simpler to compute

easier to understand and explain

less dependent on underlying dist

How well did you know this?
1
Not at all
2
3
4
5
Perfectly
12
Q

L is best linear approx to Q

L is linear function that minimizes

A

Ex[(Q(X)-L(X))2]

How well did you know this?
1
Not at all
2
3
4
5
Perfectly
13
Q

development formula 1

A

L(x)=(x-EX)*COV(X,Y)/Var(X) + E[Y]

How well did you know this?
1
Not at all
2
3
4
5
Perfectly
14
Q

answers to Hugh when using DF1

A

-if COV<var></var>

<p>-if COV=Var, large reported amnt should not affect reserve aka BF</p>

<p>-if COV&gt;Var(X), should lead to increase in reserve aka link ratio</p>

</var>

How well did you know this?
1
Not at all
2
3
4
5
Perfectly
15
Q

when is LSM appropriate and not appropriate

A
  • LSM is appropriate when year to year fluctuations are random
  • Not appropriate if year to year changes in loss experience are due largely to systematic shift or distortions in BoB
  • if systematic distortions (inflation, growing book), data can be adjusted before applying LSM
How well did you know this?
1
Not at all
2
3
4
5
Perfectly
16
Q

Credibility form of development formula AKA DF2

A

configure DF1 into credibility weighting system

L(x)=Z*x/d+(1-Z)*E[Y]

Z=VHM/(VHM+EVPV)

credibility weighting of link ratio estimate x/d and budgeted E[Y]

EVPV = 0 when full weight to link ratio (fixed reporting)

VHM = 0 when full weight to budgeted (fixed prior)

17
Q

VHM and EVPV

A

Year to year changes in loss and loss reporting distributions are too large to be corrected for -> need to estimate EVPV and VHM

18
Q

other formula for Z

19
Q

caseload effect/what DF2 assumes

A
  • DF2 assumes that expected # of claims reported is proportional to # of claims incurred
  • when caseload is low, claim is more like to reported quickly so development ratio is expected to be decreasing fct of y not constant
  • DF3: E[X/Y|Y]=d -> d+xo/y
20
Q

caseload effect -> how to calculate

A

E[X|Y=y]=dy+x0

have 2 equations -> considering new legislation and considering resouce constraints

solve for d and x0

calc VHM and EVPV as normal ie dont alter E[X/Y] and E[Y] (use considering new legislation values)

calc Ult using DF3 (use x0 and d)