Mack 2000 Flashcards

(6 cards)

1
Q

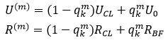
Chain Ladder Ultimate

A
How well did you know this?
1
Not at all
2
3
4
5
Perfectly
2
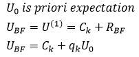
Q

B-F Ultimate

A

BF is credibility weighted average of a priori and CL where weight = %reported or %paid

How well did you know this?
1
Not at all
2
3
4
5
Perfectly
3
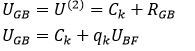
Q

Benktander Ultimate

A

GB is credibility weighted average of BF and CL where weight = %reported or %paid

How well did you know this?
1
Not at all
2
3
4
5
Perfectly
4
Q

GB is superior to BF and CL

A

Lower mean squared error

Better linear approx. of exact Bayesian procedure

Superior to CL since it gives more weight to a priori expectation of ultimate losses

Superior to BF since it gives more weight to actual loss experience/emerged losses

How well did you know this?
1
Not at all
2
3
4
5
Perfectly
5
Q

Iterative formulas for U and R

A
How well did you know this?
1
Not at all
2
3
4
5
Perfectly
6
Q

Esa Hovinen

A

Esa Hovinen is really just GB reserve

How well did you know this?
1
Not at all
2
3
4
5
Perfectly