Mack 1994 Flashcards

(22 cards)

1
Q

Chain Ladder Assumptions

A
  1. expected losses in next development period are proportional to the cumulative losses to date
  2. variance of losses in next development period is a fct of the age and the cumulative losses to date
  3. losses are independent between AYs
How well did you know this?
1
Not at all
2
3
4
5
Perfectly
2
Q

when is the 3rd assumption violated?

A

3 is violated when have CY influences that affect multiple AYs

Examples: reserve strengthening/weakening, changes in payment processes, changes in inflation, changes in claim settlement rates, legislative changes

How well did you know this?
1
Not at all
2
3
4
5
Perfectly
3
Q

major consequence of #1 assumption

A

implies subsequent DFs are uncorrelated

How well did you know this?
1
Not at all
2
3
4
5
Perfectly
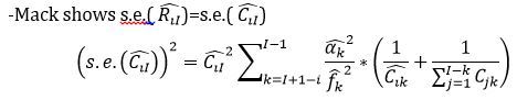
4
Q

formula for (s.e.(CiI))^2 and how its related to RiI

A
How well did you know this?
1
Not at all
2
3
4
5
Perfectly
5
Q

formula for alphak^2

A
How well did you know this?
1
Not at all
2
3
4
5
Perfectly
6
Q

options for last alpha

A
How well did you know this?
1
Not at all
2
3
4
5
Perfectly
7
Q

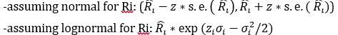
estimating CI for Reserves

normal and lognormal

A

lognormal: σ2=ln[1+(se(R)/R)2]

How well did you know this?
1
Not at all
2
3
4
5
Perfectly
8
Q

if doing CI for cumulative losses

A

use formula for CI for reserves but shift by paid/rptd loss amount ie std deviation is the same for both

How well did you know this?
1
Not at all
2
3
4
5
Perfectly
9
Q

Testing assumption 2 and 3 different DFs

A

fk0: Cik^2 weighted average
fk1: Cik weighted average
fk2: simple average

fk0 and fk2 violate the assumption because they are proportional to 1 and Cik^2, respectively

How well did you know this?
1
Not at all
2
3
4
5
Perfectly
10
Q

testing variance assumptions: residual plots for 3 DFs

A

fk0: (Ci,k+1-f*Cik) vs Cik
fk1: (Ci,k+1-f*Cik)/sqrt(Cik) vs Cik
fk2: (Ci,k+1-f*Cik)/Cik vs Cik

create 3 residual plots and see if 0&2 are better than 1

How well did you know this?
1
Not at all
2
3
4
5
Perfectly
11
Q

testing for CY effects (creating triangle)

A
  • calc LDFs for each cell of triangle
  • rank factors -> lowest gets rank of 1
  • convert table of ranks into S, L, *

* is median, L > *, S < *

-count number of L’s and S’s in each diag Aj (exclude first diag)

How well did you know this?
1
Not at all
2
3
4
5
Perfectly
12
Q

testing for CY effects (creating table)

A

-create table of j, Sj, Lj, Zj, n, m, E[Zj], Var(Zj)

**j for all except first diagonal aka only 1 element

Zj=min(S,L)

n=S+J

m=(n-1)/2 truncated

E[Zj]=n/2-(n-1 choose m)*n/(2^n)

Var(Zj)=n(n-1)/4-(n-1 choose m)*n*(n-1)/(2^n)+E[Zj]-E[Zj]^2

E[Z]=sum(E[Zj]), Var(Z)=sum(Var(Zj))

*If sum(Zj) lies outside CI, reject null that there are no CY effects aka AYs are independent

How well did you know this?
1
Not at all
2
3
4
5
Perfectly
13
Q

Testing for correlations between subsequent DFs

A
  • calc LDFs for each celll
  • create table of rik and sik

calc spearmann’s rank correlation coeff Tk

*value close to 0 indicates DFs between k-1 and k and DFs between k and k+1 are uncorrelated

calc global T

*tests the entire triangle for correlation

calc CI for T

*If T lies outside CI, reject null that you have uncorrelated DFs

How well did you know this?
1
Not at all
2
3
4
5
Perfectly
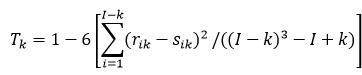
14
Q

formula for Tk

A
How well did you know this?
1
Not at all
2
3
4
5
Perfectly
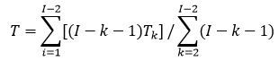
15
Q

formula for T, E[T], Var(T), CI for 50%

A

E[T]=0

Var(T)=2/[(I-3)(I-2)]

+/-0.67*sqrt(Var(T))

How well did you know this?
1
Not at all
2
3
4
5
Perfectly
16
Q

why is it more important to look at global T?

A

*more important to know whether correlation globally prevails than finding a small portion of the triangle that is correlated

*At a 10% level of significance, 10% of the pairs of columns could exhibit significant correlation by random chance. Thus, we need to check the whole triangle to determine if correlation is truly present

17
Q

Testing assumption 2 with weighted residuals

A

weighted residual = (y-yhat)/sqrt(x)

*Scatter plot of x vs weighted residuals -> tests variance assumption (#2)

*If residuals are not randomly scattered 0, assumption is violated

*assumption 2 requires most appropriate selection method for loss development factors = all-year volume-weighted average

18
Q

testing linearity assumption

A

*Scatter plot of x vs y aka Cik and Ci,k+1

should be through origin with slope of DF

20
Q

when is lognormal more appropriate for CI for reserves?

A

lognormal distribution is appropriate if normal distribution results in negative lower bound of CI

when standard error is high % of reserve estimate

21
Q

% std errors aka s.e(R)/R comparison for AYs

A

should be greatest for older AYs since reserve estimate is smallest there and absolute value of std error is smallest

should increase significantly for most recent AYs because most immature and most uncertain AYs

22
Q

variance of total reserve compared to individual years

A

MSE of total reserve should be greater than sum of variance of individual years if using CL which Mack uses

this is reasonable and expected because CL uses same LDFs between AYs so reserve estimates for individual AYs are positively correlated causing higher total var than if AY reserve estimates were independent