Goldfarb Flashcards

(55 cards)

1
Q

Dividend discount model: equity value of firm

A

equity value of firm = present value of future dividends

How well did you know this?
1
Not at all
2
3
4
5
Perfectly
2
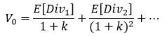
Q

DDM: value of share of stock

A

discounted present value of expected future dividends

E[Div1] reflects expected dividends to be paid at end of period 1

How well did you know this?
1
Not at all
2
3
4
5
Perfectly
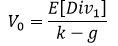
3
Q

if dividends are expected to grow in perpetuity at constant rate g

A
How well did you know this?
1
Not at all
2
3
4
5
Perfectly
4
Q

If dividends are projected over finite horizon and then assumed to grow at g beyond that horizon, incorporate terminal value term

A

example of initial finite horizon of 3 yrs followed by constant rate

How well did you know this?
1
Not at all
2
3
4
5
Perfectly
5
Q

3 assumptions needed to implement DDM

A
  • Expected dividends during forecast horizon
  • Dividend growth rates beyond forecast horizon
  • Appropriate risk-adjusted discount rate
How well did you know this?
1
Not at all
2
3
4
5
Perfectly
6
Q

Expected dividends during forecast horizon

A
  • Extremely complex to forecast future dividends
  • Involves forecasts of revenues, expenses, investment needs, cash flows, etc
How well did you know this?
1
Not at all
2
3
4
5
Perfectly
7
Q

Dividend growth rates beyond forecast horizon: approaches

A
  • Simple approach to estimate growth rates beyond forecast horizon is to use growth rates during forecast to extrapolate future growth rates
  • Another approach is to base growth rate on

Dividend payout ratio - portion of earnings paid as dividends

Return on equity - profit per dollar of reinvested earnings

-With this approach, g can be estimated as

G =plowback*ROE

Plowback = portion of earnings retained and reinvested

How well did you know this?
1
Not at all
2
3
4
5
Perfectly
8
Q

High growth rate does not necessarily mean that firm value will increase

A
  • Only if everything is held constant
  • Growth rates, dividend payout ratios and risk-adj rate are not independent in reality
How well did you know this?
1
Not at all
2
3
4
5
Perfectly
9
Q

2 examples of dependence between dividends and growth rate

A
  • High growth rates and high dividends are not sustainable at the same time, high growth rates will be offset by lower dividend amounts
  • Firms with high growth rates tend to be riskier which drives risk-adj rate up and present value of dividend amounts down
How well did you know this?
1
Not at all
2
3
4
5
Perfectly
10
Q

When valuing risky cash flows, need to reflect risk in value that is being calc: 2 ways

A
  • One way = using risk-adj rate that is higher than risk-free rate which lowers value of cash flows
  • Another = adjust cash flows for risk directly and then discount at risk free rate
How well did you know this?
1
Not at all
2
3
4
5
Perfectly
11
Q

Private vs equilibrium market valuation

A
  • Private evaluation assumes that individual investors have their own views of risk resulting in same investment having different value to different investors
  • Equilibrium market valuation assumes that all investors hold the same portfolio; investments will have same value to all investors
How well did you know this?
1
Not at all
2
3
4
5
Perfectly
12
Q

Determining discount rate

A
  • Most popular model is Capital Asset Pricing Model (CAPM)
  • In CAPM, risk is defined in terms of investment’s beta, which is measure of systematic risk that cannot be diversified away
  • CAPM can be expressed as
How well did you know this?
1
Not at all
2
3
4
5
Perfectly
13
Q

2 methods for determining beta

A
  • Firm beta - run linear regression of company’s returns against market returns using historical stock price data
  • Industry beta - use industrywide mean or median value
How well did you know this?
1
Not at all
2
3
4
5
Perfectly
14
Q

P&C insurance company example - DDM

A
  • Create table for net income after tax, dividends paid, beginning US GAAP equity, ending equity, ROE
  • Net income after tax = net income before tax*(1-corporate tax rate)
  • Dividends paid = net income after tax*dividend payout ratio
  • Beginning US GAAP Equity = ending equity from previous year
  • Ending US GAAP Equity = beginning equity + net income after tax - dividends paid
  • ROE = net income after tax / beginning equity
  • Determine growth rate

If ROE is trending upward over time, select latest ROE

Growth rate = ROE*(1-dividend payout ratio)

-calc equity value of firm V0

How well did you know this?
1
Not at all
2
3
4
5
Perfectly
15
Q

Discounted Cash Flow

A

free cash flow to firm FCFF

free cash flow to equity FCFE

How well did you know this?
1
Not at all
2
3
4
5
Perfectly
16
Q

free cash flow

A
  • free cash flow = all cash that could be paid as dividend
  • free cash flow is net of anything that needs to be reinvested in firm for required operations and growth
How well did you know this?
1
Not at all
2
3
4
5
Perfectly
17
Q

free cash flow to firm FCFF

A
  • Focuses on free cash flow to entire firm prior to accounting for debt payments or taxes associated with debt payments
  • Discounting the FCFF gives total firm value
  • Equity value of firm=total firm value-market value of debt
How well did you know this?
1
Not at all
2
3
4
5
Perfectly
18
Q

free cash flow to equity FCFE

A
  • Focuses on cash flows to equity holders only
  • Subtract debt payments net of their associated tax consequences from free cash flow to firm
  • Discounting resulting free cash flows to determine equity value

Important distinction = use different discount rates

How well did you know this?
1
Not at all
2
3
4
5
Perfectly
19
Q

FCFF vs FCFE for discount rate

A
  • FCFF uses discount rate that reflects overall risk to both debt holders and equity holders known as WACC
  • FCFE uses discount rate that reflects risk to equity holders only
How well did you know this?
1
Not at all
2
3
4
5
Perfectly
20
Q

Limitations of DDM

A
  • Actual dividend payments are discretionary and can be difficult to forecast
  • Due to increased use of stock buybacks as vehicle for returning funds to shareholders we may need to redefine dividend
How well did you know this?
1
Not at all
2
3
4
5
Perfectly
21
Q

Free Cash Flow to Firm: difficult to apply to P&C

A
  • Difficult to apply to P&C
    1. Policyholders liabilities vs debt
    2. Weighted average cost of capital (WACC) - used to discount cash flows that include both equity and debt sources of capital
    3. Adjusted present value (APV) method - uses all equity discount rate to derive value of firm without considering debt holders’ claims, tax consequences of debt, or impact of debt on riskiness of equity holders’ claims
    4. Policyholder liabilities make it difficult to precisely define either WACC or all equity discount rate needed for APV
How well did you know this?
1
Not at all
2
3
4
5
Perfectly
22
Q

FCFE can be calculated as

A
How well did you know this?
1
Not at all
2
3
4
5
Perfectly
23
Q

Non-cash charges

A

expenses that are deducted under GAAP but do not represent actual cash expenditures

24
Q

Net working capital investment

A

reflects net short term assets held to maintain operations such as inventory or accounts receivable

25
Increases in required capital
regulatory and rating agency capital requirements Reflects management's assessment of capital needed to take on risk without negatively impacting growth goals
26
Increases in loss and expense reserves
most sign. non-cash charges but not included in FCFE calc these are counted both in non-cash charges and capital expenditures so it cancels out in FCFE formula
27
P&C insurance company example - FCFE
- Create table for net income after tax, beginning US GAAP equity, regulatory capital, increase in required capital, FCFE, ROE, reinvestment rate - Beginning US GAAP Equity = regulatory capital from previous year - Increase in required capital = regulatory capital - beginning equity - FCFE = net income after tax - increase in required capital - ROE = net income after tax / beginning equity - Reinvestment rate = reinvested capital/net income after tax = increase in required capital/net income after tax - Calc risk-adjusted rate using k formula - Determine growth rate Growth rate = ROE\*reinvestment rate -calc V0
28
Weaknesses of DCF
- Must forecast financial statements according to specific set of accounting standards - Variety of adj must be made to forecasts of net income to estimate free cash flows - Resulting free cash flows may not be very similar to those used internally for planning purposes
29
Abnormal Earnings method relies directly on
accounting measures rather than cash flows (uses reported book value of forecasted net income)
30
AE: book value and when market value of firm's equity = BV
Book value = value of firm's equity capital ## Footnote -If firm can earn a return = return demanded by shareholders, then market value of firm's equity = book value
31
Deviations from book value constitute
abnormal earnings
32
abnormal earnings formula
33
AE: equity value of firm
-Taking present value of expected AE and adding them to book value determines total value of firm's equity
34
AE vs DDM and FCFE for terminal value
- Calc is different from DDM and FCFE approaches in that it doesn’t assume constant growth rate in perpetuity - Abnormal earnings are unlikely to continue in perpetuity and should decline to 0 as new competition enters to capture some of those abnormal earnings
35
Appealing quality of AE
doesn’t assume constant growth rate in perpetuity it forces analysts to explicitly consider limits of growth from value perspective Growth in earnings does not drive growth in value, only grow in value if exceed expected return
36
Benefits of AE
- Uses assumptions that are more directly tie to value creation (abnormal profits) instead of those that are consequences of value creation (dividends and free cash flows) - De-emphasizes terminal value and reflects more of firm value within forecast horizon
37
AE example
- Create table for net income after tax, beginning US GAAP equity, regulatory capital, normal earnings, abnormal earnings - Beginning US GAAP Equity = regulatory capital from previous year - Normal earnings = regulatory capital \*risk adj rate - Abnormal earnings = net income after tax - normal earnings - Calc abnormal earnings beyond forecast horizon - calc V0
38
Problems with DDM, DCF, and AE methods
- Investor may not have access to data in sufficient detail to parameterize model - Without market knowledge and planning data, growth, and rate adequacy estimates are difficult to obtain - Horizon used may stretch limits of our forecasting ability
39
Price-earnings (P-E) ratio
-summarizes combined effect of dividend payout ratio, growth rate and discount rate
40
Alternative uses for P-E
- Validation of assumptions - if differences in P-E ratios between firms with comparable growth rates, etc cannot be explained by these key variables, may need to revisit assumptions - Shortcut to valuation - when industry average performance is expected, can select group of peer companies and use their mean or median P-E - Terminal value - may rely on peer P-E ratios to guide terminal value
41
price using P-E ratio and trailing vs leading
- Price = P-E ratio\*expected earnings per share next period - P-E above is known as forward/leading P-E since it uses expected future earnings - If we used prior, trailing P-E ratio
42
Price to book value (P-BV) ratio formula
-Assuming constant growth rate g, constant ROE, AE approach can be written as
43
why/when is P-BV perferred over P-E
-Preferred over P-E when valuing banks, insurance companies and other financial service firms with large holding in marketable securities
44
If assume that ROE will decline to cost of capital of n years as competitors enter market, get following P-BV
45
Alternative uses of P-BV
same as P-E
46
Market vs transaction multiples
- P-E and P-BV ratios are based on market price of companies' shares as well as most recent financial statement values - Since market value and financial statement values fluctuate greatly, it may be better to focus on transaction multiples or at least consider market multiples over multiple periods - Transaction multiples are based on M&A prices or initial public offerings
47
Approaches to valuing multi-line firms
- Use segment specific financial measures and multiples based on firms that operate only in that space - Peer companies with comparably diverse operations can be used along with firm wide financial measures
48
Steps for valuing firm with diverse operations
- Collect financial data by segment - include growth rate, profitability and risk level - Select peer companies - identify for each segment that only operate in that segment - Choose multiples - use several valuation multiples to avoid reliance on single multiple - Apply multiples for segment valuation - combine segment financial data with segment multiples to estimate segment value - Calc total firm value - Validate against other diversified firms
49
options for risk free rate when given 20-yr T-bond
use 20-yr T-bond yield directly rf=yield(20yr) use 20-yr t-bond yield adjusted net of term premium for risk free rate ie rf=yield(20yr)-term prem
50
shortcut for g using FCFE
51
plowback ratio
can be referred to as row
52
when calc FCFE, ending capital to us
use most binding constraint on capital
53
weakness of DDM vs AE
highly leveraged terminal value and assumptions used to estimate it AE method is less leveraged to terminal value
54
2 difficulties in applying FCFF to banks and insurance companies
FCFF values entire firm then subtracts value of debt; problematic because isn't much distinction between debt and policyholder liabilities and no reason to treat them differently FCFF uses Weighted average Cost of Capital as discount rate; because of policyholder liabilities, difficult to precisely define WACC or unlevered, all-equity discount rate for APV approach
55
deciding between industry and company beta
because firm specific beta is based on historical price data, which is volatile and may not be constant for the future, industry beta will be more stable