Verrall Flashcards

(35 cards)

1
Q

stochastic models for CL

A
  1. Mack
  2. over dispersed poisson
  3. over dispersed negative binomial
  4. normal approx to NB
How well did you know this?
1
Not at all
2
3
4
5
Perfectly
2
Q

MACK

A

-only on cumulative loss

Bayesian compared to the Mack, the full distribution can be easily calculated & the prediction error can be calculated

How well did you know this?
1
Not at all
2
3
4
5
Perfectly
3
Q

ODP

A
  • increm loss
  • since neg increm values are possible with reported data, preferable to use paid loss or claim counts
  • not obvious it produces CL
How well did you know this?
1
Not at all
2
3
4
5
Perfectly
4
Q

ODNB

A
  • same for increm and cumulative losses
  • if link ratio is less than 1 or id column sums of incremental loss are positive, produce negative variance
  • expected value for each increm cell is equivalent to CL estimate AKA form of mean is the same as CL
How well did you know this?
1
Not at all
2
3
4
5
Perfectly
5
Q

normal approx to NB

A
  • allows for neg increm claims
  • more parameters
How well did you know this?
1
Not at all
2
3
4
5
Perfectly
6
Q

2 areas where expert knowledge is applied

A
  • BF method (row parameters/AY ultimates)
  • Insertion of prior knowledge about individual DFs in CL (unlike Bootstrapping)
How well did you know this?
1
Not at all
2
3
4
5
Perfectly
7
Q

Bayesian models have 2 important properties

A
  1. Can incorporate expert knowledge
  2. Can be easily implemented
How well did you know this?
1
Not at all
2
3
4
5
Perfectly
8
Q

estimate for outstanding losses: CL

A
How well did you know this?
1
Not at all
2
3
4
5
Perfectly
9
Q

estimate for outstanding losses: BF

A
How well did you know this?
1
Not at all
2
3
4
5
Perfectly
10
Q

prediction variance

A

process variance + estimation variance

How well did you know this?
1
Not at all
2
3
4
5
Perfectly
11
Q

prediction error will be [] if less confident in expert opinion

A

higher

How well did you know this?
1
Not at all
2
3
4
5
Perfectly
12
Q

When comparing prediction errors

A

it’s best to think of the prediction error as a percentage of the prediction, since the reserve estimate itself may vary greatly from model to model

How well did you know this?
1
Not at all
2
3
4
5
Perfectly
13
Q

difficulty in calculating the prediction error highlights a few advantages of Bayesian methods

A
  • full predictive distribution can be found using simulation methods
  • RMSEP can be obtained directly by calculating the std dev of method
How well did you know this?
1
Not at all
2
3
4
5
Perfectly
14
Q

2 cases of intervention in estimation of DFs for CL

A
  • DF changed in some rows due to external information
  • DFs = 5yr volume weighted average rather than all of the available data in the triangle
How well did you know this?
1
Not at all
2
3
4
5
Perfectly
15
Q

Incorporating Expert opinion about DFs

A
  • means and variance of prior distributions of DFs reflect expert opinion
  • lamda has mean and var W
  • mean is opinion
  • W depends on strength of opinion
How well did you know this?
1
Not at all
2
3
4
5
Perfectly
16
Q

if W is large

A

DF will be pulled closer to CL DF and reserve will closely resemble CL reserve

17
Q

if W is small

A

DF will be pulled closer to prior mean and reserve will move away from CL reserve

18
Q

using BF

A
  • BF assumes expert opinion about level of each row xi from ODP, need to specify prior distribution for xi
  • uses Gamma

E[xi] = alpha/beta = M

Var(xi) = alpha/beta^2 = M/beta

-for given choice of M, variance can be altered by changing beta

19
Q

smaller B implies

A

we are more unsure about M

20
Q

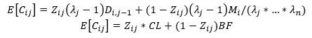
Bayesian Model for BF (BAYESIAN MEAN RESERVE) -> E[Cij]

21
Q

formula for Z

22
Q

beta can control Z

A

so large beta aka more conf., more weight to BF

-mean of incremental claims is credibility formula where Z controls trade-off between prior mean (BF) and data (CL)

23
Q

to modify Bayesian framework ->

A

insert row parameter for each AY and specify low variances

24
Q

Estimating column parameters (BF RESERVE)

A
  • To account for all variability, we also need to estimate the column parameters (yj )
  • use estimates from traditional CL
  • or define prior dist for column parameters and estimate column parameters first
  • Once we define improper prior distributions (i.e. large variances) for the column parameters and estimate them, we obtain an over-dispersed negative binomial with mean

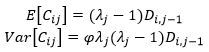
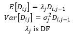
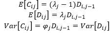
E[Cij]=(gamma(i)-1)*sum(Cmj)

25
fully specify Bayesian model when using 5yr volume weighted average
E[Inc Loss or Cum Loss] = ... Var(Inc Loss or Cum Loss) = ... lambda (i,j) = lamda (j) for most recent 5 CY diagonals lambda (i,j) = lamda\* (j) for all diagonals prior to latest 5
26
if estimating E[Cij] for multiple periods ie E[Cij] and E[Cij+1] using bayesian credibility
for CL: Di,j-1 will come from latest diagonal and estimated incrementals using CL for BF: need to do nothing special
27
estimating incrememtal losses with bayesian credibility -\> another way to look at it/calculate
calc E[Cij] for CL and BF seperately E[Cij]=Cum loss to date \* (DF-1) E[Cij]=M\*(%rptd@t+1 - %rptd@t) then calc Z and credibility weight estimate
28
if incremental losses are assumed to follow ODNB (for Bayesian using BF) then E[Cij]
E[Cij]=(gamma(i)-1)\*sum(Cmj)
29
how to calculate gamma(i)
use E[Cij]=(gamma(i)-1)\*sum(Cmj) and given column parameters lambda ie calculate expected incremental loss using CL (fill out remainder of triangle) then solve for gamma by using those and the E[Cij] formula above
30
how to calculate expected ultimate loss when given gammas and the incremental losses follow ODNB
use E[Cij] \*\*need to start with oldest year first and then go down from there since this process is iterative for newer AYs
31
estimating reserve for fully stochastic BF and the benefit compared to Bayesian BF based on ODP
this is the same as incremental loss following ODNB with gamma values \*fully stochastic model in both row and column parameters where as Baysian BF based on ODP uses static column factors, LDFs, calculated from the loss triangle
32
specify the prior distributions for DFs lambda(i,j) to be used in Bayesian model that will produce CL besides prior knowledge
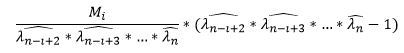
need to set a prior distribution for each AY and development period for non knowledge DFs, set prior distribution to have mean = volume weighted LDF and large variance for knowledge DFs, set prior distribution to have mean = knowledge and small variance \*setting variances -\> anything relatively large/small compared to mean should be fine
33
specify a prior distribution for row parameter
x(i)~gamma(alpha, beta) know M=alpha/beta from given info pick small variance -\> do this by using small CoV variance =(CoV\*mean)^2 then solve for alpha and beta based on variance and M
34
believe AY should be modeled between CL and BF, how to do this in stochastic framework
use xi~gamma(alpha,beta) or gamma(mean, var) select larger variance for a priori estimate ^ set variance to modify beta and reflect credibility weighting between CL and BF larger var -\> closer to CL estimate smaller var -\> closer to BF estimate credibility weighting of CL: Z=%paid/(%paid + psi\*beta)
35
describe how bayesian model will behave and how prior distribution will impact model
lambdas have prior distributions with a mean of volume weighted LDFs and large variance -\> large variance indicates the model will reproduce the CL results from these development factors for AYs development periods (), prior distribution is set to mean of 1.2 and small variance -\> this will pull posterior distribution toward the 1.2 factor instead of what the data alone indicates