Hurlimann Flashcards

(10 cards)

1
Q

mk

A

expected loss ratio in development period k, increm LR

sum of incremental paid over sum of prem

=E[sum(Sik)]/sum(Vi)

How well did you know this?
1
Not at all
2
3
4
5
Perfectly
2
Q

pi

A

loss ratio payout factor

loss ratio lag-factor

proportion of total ult expected to be paid in development period n-i+1

pi = 1/CDF if given CDF

How well did you know this?
1
Not at all
2
3
4
5
Perfectly
3
Q

ELR

A

sum(mk)

How well did you know this?
1
Not at all
2
3
4
5
Perfectly
4
Q

Collective LR claims reserve and burning cost

A

like BF, depends on portfolio claims experience

How well did you know this?
1
Not at all
2
3
4
5
Perfectly
5
Q

Advantage of collective LR over BF

A

different people get same results provided they use same premiums

calc ELR directly from data so no subjectivity

How well did you know this?
1
Not at all
2
3
4
5
Perfectly
6
Q

Individual LR claims reserve

A

like CL, depends on individual latest claims experience

How well did you know this?
1
Not at all
2
3
4
5
Perfectly
7
Q

credibile LR claims reserve, GB, and Nehaus (WN)

A
How well did you know this?
1
Not at all
2
3
4
5
Perfectly
8
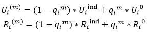
Q

iterative ultimate and reserve formulas

A
How well did you know this?
1
Not at all
2
3
4
5
Perfectly
9
Q

optimate credibility credibility weight

A

*weight that minimizes MSE for reserve

*WN tends to result in estimates closest to optimal cred weight

How well did you know this?
1
Not at all
2
3
4
5
Perfectly
10
Q

fi and ti

A

fi=Var(Ui)/Var(UiBC)

ti = [(fi-1)+sqrt((fi+1)(fi-1+2pi))]/2

How well did you know this?
1
Not at all
2
3
4
5
Perfectly